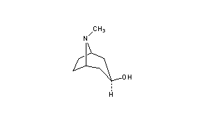
Pseudotropine
Structural Formula Vector Image
Title: Pseudotropine
CAS Registry Number: 135-97-7
CAS Name: exo-8-Methyl-8-azabicyclo[3.2.1]octan-3-ol
Additional Names: 1aH,5aH-tropan-3b-ol; 3b-tropanol; y-tropine; 3-pseudotropanol
Molecular Formula: C8H15NO
Molecular Weight: 141.21
Percent Composition: C 68.04%, H 10.71%, N 9.92%, O 11.33%
Literature References: Stereoisomeric with tropine. Prepn, structure, separation from tropine, and stereochemical configuration: See Tropine. Stereochemical synthesis: J. J. Tufariello et al., J. Am. Chem. Soc. 101, 2435 (1979).
Properties: Orthorhombic, bipyramidal crystals from petr ether + benzene. mp 109°; bp 241°; pK (15°): 3.80. pH of 0.05 M soln 11.5. Freely sol in water, alcohol, benzene.
Melting point: mp 109°
Boiling point: bp 241°
pKa: pK (15°): 3.80
 
Derivative Type: Hydrochloride
Molecular Formula: C8H15NO.HCl
Molecular Weight: 177.67
Percent Composition: C 54.08%, H 9.08%, N 7.88%, O 9.01%, Cl 19.95%
Properties: Needles from alcohol, dec 282°. Soluble in water, hot alcohol.
 
Derivative Type: Tropate
Molecular Formula: C8H15NO.C9H8O2
Molecular Weight: 289.37
Percent Composition: C 70.56%, H 8.01%, N 4.84%, O 16.59%
Properties: Cryst from benzene, mp 132°.
Melting point: mp 132°

Other Monographs:
DicyclohexylamineNiceritrolPropenzolateProxyphylline
Isofenphosp-Cresotic AcidFenbutatin OxideBromoacetic Acid
Nordihydroguaiaretic AcidArsenic TriselenideAcrylic AcidPetrolatum
IsocorydineCertolizumab Pegol2,6-LutidineChloral Formamide
©2006-2023 DrugFuture->Chemical Index Database