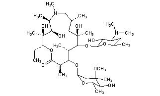
Azithromycin
Structural Formula Vector Image
Title: Azithromycin
CAS Registry Number: 83905-01-5
CAS Name: (2R,3S,4R,5R,8R,10R,11R,12S,13S,14R)-13-[(2,6-Dideoxy-3-C-methyl-3-O-methyl-a-L-ribo-hexopyranosyl)oxy]-2-ethyl-3,4,10-trihydroxy-3,5,6,8,10,12,14-heptamethyl-11-[[3,4,6-trideoxy-3-(dimethylamino)-b-D-xylo-hexopyranosyl]oxy]-1-oxa-6-azacyclopentadecan-15-one
Additional Names: N-methyl-11-aza-10-deoxo-10-dihydroerythromycin A; 9-deoxo-9a-methyl-9a-aza-9a-homoerythromycin A
Molecular Formula: C38H72N2O12
Molecular Weight: 748.98
Percent Composition: C 60.94%, H 9.69%, N 3.74%, O 25.63%
Literature References: Semi-synthetic macrolide antibiotic; related to erythromycin A, q.v. Prepn: BE 892357; G. Kobrehel, S. Djokic, US 4517359 (1982, 1985 both to Sour Pliva); of the crystalline dihydrate: D. J. M. Allen, K. M. Nepveux, EP 298650; eidem, US 6268489 (1989, 2001 both to Pfizer). Antibacterial spectrum: S. C. Aronoff et al., J. Antimicrob. Chemother. 19, 275 (1987); and mode of action: J. Retsema et al., Antimicrob. Agents Chemother. 31, 1939 (1987). Series of articles on pharmacology, pharmacokinetics, and clinical experience: J. Antimicrob. Chemother. 31, Suppl. E, 1-198 (1993). Clinical trial in prevention of Pneumocystis carinii pneumonia in AIDS patients: M. W. Dunne et al., Lancet 354, 891 (1999). Review of pharmacology and clinical efficacy in pediatric infections: H. D. Langtry, J. A. Balfour, Drugs 56, 273-297 (1998).
Properties: Amorphous solid, mp 113-115°. [a]D20 -37° (c = 1 in CHCl3).
Melting point: mp 113-115°
Optical Rotation: [a]D20 -37° (c = 1 in CHCl3)
 
Derivative Type: Dihydrate
CAS Registry Number: 117772-70-0
Manufacturers' Codes: CP-62993; XZ-450
Trademarks: Azitrocin (Pfizer); Ribotrex (Fabre); Sumamed (Pliva); Trozocina (Sigma-Tau); Zithromax (Pfizer); Zitromax (Pfizer)
Properties: White crystalline powder. mp 126°. [a]D26 -41.4° (c = 1 in CHCl3).
Melting point: mp 126°
Optical Rotation: [a]D26 -41.4° (c = 1 in CHCl3)
 
Therap-Cat: Antibacterial.
Keywords: Antibacterial (Antibiotics); Macrolides.

Other Monographs:
DiethylsilaneRaffinoseTalbutalTonin
GlycobiarsolNitrogen SelenideChromafenozideManganese Selenide
TroglitazoneMetcaraphen1-Naphthylamine-4,7-disulfonic AcidPareira
Boron Nitride5-Nitro-2-propoxyanilineFlesinoxanMagnesium Salicylate
©2006-2023 DrugFuture->Chemical Index Database