Hexacarbacholine Bromide
Structural Formula Vector Image
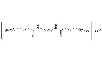
Title: Hexacarbacholine Bromide
CAS Registry Number: 306-41-2
CAS Name: N,N,N,N¢,N¢,N¢-Hexamethyl-4,13-dioxo-3,14-dioxa-5,12-diazahexadecane-1,16-diaminium dibromide
Additional Names: 2,2¢-[1,6-hexanediylbis(iminocarbonyloxy)]bis[N,N,N-trimethylethanaminium] dibromide; choline bromide hexamethylenedicarbamate; hexamethylenedicarbamic acid choline bromide diester; hexamethylene-1,6-bis(carbamoylcholine bromide); N,N¢-hexamethylenebis[(2-carbamoyloxyethyl)trimethylammonium bromide]
Manufacturers' Codes: BC-16
Trademarks: Imbretil
Molecular Formula: C18H40Br2N4O4
Molecular Weight: 536.34
Percent Composition: C 40.31%, H 7.52%, Br 29.80%, N 10.45%, O 11.93%
Literature References: Prepn: Schmied et al., AT 185371 (1956); DE 1021842 (1958 to Oesterreichische Stickstoffwerke).
Properties: Crystals from ethanol, mp 174-176°.
Melting point: mp 174-176°
Therap-Cat: Muscle relaxant (skeletal).
 
 
Status: This monograph has been retired and is no longer subject to revision or update.

Other Monographs:
EpratuzumabCerous FluorideButylateChorismic Acid
Phosphorus TrifluorideFlufenamic AcidSodium MethylsulfinylmethylideMebutamate
FITCDeslanosidePotassium MetabisulfiteBenfuracarb
Pipemidic AcidRapacuronium BromideTrichloroacetaldehydeOil of Basil
©2006-2023 DrugFuture->Chemical Index Database