Zanamivir
Structural Formula Vector Image
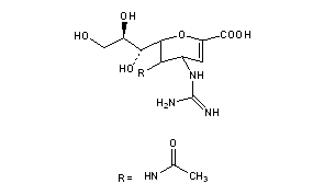
Title: Zanamivir
CAS Registry Number: 139110-80-8
CAS Name: 5-(Acetylamino)-4-[(aminoiminomethyl)amino]-2,6-anhydro-3,4,5-trideoxy-D-glycero-D-galacto-non-2-enonic acid
Additional Names: 4-guanidino-2,4-dideoxy-2,3-dehydro-N-acetylneuraminic acid; 4-guanidino-Neu5Ac2en; 5-acetamido-4-guanidino-2,3,4,5-tetradeoxy-D-glycero-D-galacto-non-2-enopyranosonic acid
Manufacturers' Codes: GG-167; GR-121167X
Trademarks: Relenza (GSK)
Molecular Formula: C12H20N4O7
Molecular Weight: 332.31
Percent Composition: C 43.37%, H 6.07%, N 16.86%, O 33.70%
Literature References: Influenza viral neuraminidase inhibitor; structural analog of the sialic acids, q.v. Prepn: L. M. von Itzstein et al., WO 9116320; eidem, US 5360817 (1991, 1994 both to Biota); M. von Itzstein et al., Carbohydr. Res. 259, 301 (1994). Structure-activity study: eidem et al., Nature 363, 418 (1993). Inhibition of sialidase (neuraminidase) from influenza virus: M. S. Pegg, M. von Itzstein, Biochem. Mol. Biol. Int. 32, 851 (1994). In vitro antiviral activity: J. M. Woods et al., Antimicrob. Agents Chemother. 37, 1473 (1993). HPLC determn in serum: R. J. Stubbs, A. J. Harker, J. Chromatogr. B 670, 279 (1995). Clinical trial in influenza A and B infection: F. G. Hayden et al., N. Engl. J. Med. 337, 874 (1997); in prevention of influenza in healthy adults: A. S. Monto et al., J. Am. Med. Assoc. 282, 31 (1999).
Properties: Colorless crystals as the sesquihydrate, mp 256° (dec). [a]D20 +40.9° (c = 0.9 in water). Zwitterionic at physiological pH.
Melting point: mp 256° (dec)
Optical Rotation: [a]D20 +40.9° (c = 0.9 in water)
Therap-Cat: Antiviral.
Keywords: Antiviral; Sialic Acid Analogs; Neuraminidase Inhibitor.

Other Monographs:
Phenoldisulfonic AcidGermanium Dichloridep-Fluoroanilinep-Dimethylaminobenzalrhodanine
EtiprostonNifuroquineCalcium Magnesium Acetate2-(Ethylthio)ethanol
Strontium AcetateLithium Tetracyanoplatinate(II)SotalolHydrargaphen
LorcainideCatechu BlackAcetaldehyde AmmoniaMetomidate
©2006-2023 DrugFuture->Chemical Index Database