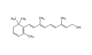
3-Dehydroretinol
Structural Formula Vector Image
Title: 3-Dehydroretinol
CAS Registry Number: 79-80-1
CAS Name: 3,4-Didehydroretinol
Additional Names: (all-E)-3,7-dimethyl-9-(2,6,6-trimethyl-1,3-cyclohexadien-1-yl)-2,4,6,8-nonatetraen-1-ol; all-trans-3-dehydroretinol; retinol2; vitamin A2
Molecular Formula: C20H28O
Molecular Weight: 284.44
Percent Composition: C 84.45%, H 9.92%, O 5.62%
Literature References: Naturally occurring retinoid originally discovered in livers of fresh-water fish. Constitutes 20-25% of total retinoid content in human epidermis; levels are markedly elevated in patients with hyperproliferative dermatoses such as psoriasis. Discovery in freshwater fish: E. Lederer et al., Nature 140, 233 (1937); J. R. Edisbury et al., ibid. 234. Isoln from pike liver oils: E. M. Shantz, Science 108, 417 (1948). Structure and synthesis: K. R. Farrar et al., J. Chem. Soc. 1952, 2657. Synthesis and characteristics of stereoisomers: U. Schwieter et al., Helv. Chim. Acta 45, 517, 528, 541, 548 (1962). HPLC determn in fish oils: B. Stancher, F. Zonta, J. Chromatogr. 312, 423 (1984). Identification in human skin: A. Vahlquist, Experientia 36, 317 (1980). Comparative levels in psoriasis patients: O. Rollman, A. Vahlquist, Arch. Dermatol. Res. 278, 17 (1985). Biosynthesis from retinol, q.v., in cultured keratinocytes: O. Rollman et al., Biochem. J. 293, 675 (1993).
Properties: Light yellow needles from petr ether, mp 63-65°. uv max (ethanol): 350 nm (E1%1cm 1455).
Melting point: mp 63-65°
Absorption maximum: uv max (ethanol): 350 nm (E1%1cm 1455)

Other Monographs:
Spirit of Ammonia, AromaticIndium ArsenideCassella's Acid FTazarotene
PyrithiobacDichlorodifluoromethaneSintropium BromideMethylparaben
TaraxeinPotassium NitriteMelperoneBismuth Potassium Iodide
p-DitolylmercurySodium Bismuthate(V)ErythrophlaminePotassium Tetrafluoroborate
©2006-2023 DrugFuture->Chemical Index Database