Imipenem
Structural Formula Vector Image
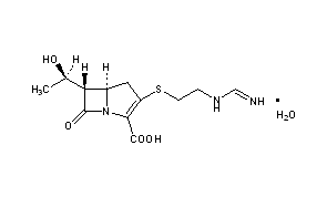
Title: Imipenem
CAS Registry Number: 74431-23-5; 64221-86-9 (anhydrous)
CAS Name: (5R,6S)-6-[(1R)-1-Hydroxyethyl]-3-[[2-[(iminomethyl)amino]ethyl]thio]-7-oxo-1-azabicyclo[3.2.0]hept-2-ene-2-carboxylic acid monohydrate
Additional Names: N-formimidoylthienamycin monohydrate; imipemide
Manufacturers' Codes: MK-787
Molecular Formula: C12H17N3O4S.H2O
Molecular Weight: 317.36
Percent Composition: C 45.41%, H 6.03%, N 13.24%, O 25.21%, S 10.10%
Literature References: Extremely broad-spectrum semi-synthetic antibiotic; first stable derivative of thienamycin, q.v. Prepn: W. J. Leanza et al., J. Med. Chem. 22, 1435 (1979); T. W. Miller, EP 6639 (1980 to Merck & Co.), C.A. 93, 155845y (1980); B. G. Christensen et al., US 4194047 (1980 to Merck & Co.). Totally synthetic prepn without formation of thienamycin: I. Shinkai et al., Tetrahedron Lett. 23, 4903 (1982). HPLC determn in serum: C. M. Myers, J. L. Blumer, Antimicrob. Agents Chemother. 26, 78 (1984). Series of articles on in vitro activity, pharmacokinetics, clinical efficacy of combination with cilastatin sodium, q.v., a renal dehydropeptidase I inhibitor: J. Antimicrob. Chemother. 12, Suppl. D, 1-155 (1983); Rev. Infect. Dis. 7, Suppl. 3, S389-S536 (1985); Am. J. Med. 78, Suppl. 6A, 1-167 (1985); Infection 14, Suppl. 2, S111-S180 (1986). Comprehensive description: E. R. Oberholtzer, Anal. Profiles Drug Subs. 17, 73-114 (1988).
Properties: Crystals from water-ethanol. [a]D25 +86.8° (c = 0.05 in 0.1M phosphate, pH 7). pKa1 ~3.2, pKa2 ~9.9. uv max (water): 299 nm (e 9670, 98% NH2OH ext). Soly (mg/ml): water 10, methanol 5, ethanol 0.2, acetone <0.1, dimethylformamide <0.1, dimethylsulfoxide 0.3.
pKa: pKa1 ~3.2, pKa2 ~9.9
Optical Rotation: [a]D25 +86.8° (c = 0.05 in 0.1M phosphate, pH 7)
Absorption maximum: uv max (water): 299 nm (e 9670, 98% NH2OH ext)
 
Derivative Type: Combination with cilastatin sodium
CAS Registry Number: 85960-17-4
Trademarks: Imipem (Neopharmed); Primaxin (Merck & Co.); Tenacid (Sigma-Tau); Tienam (Merck & Co.); Zienam (Merck & Co.)
 
Therap-Cat: Antibacterial.
Keywords: Antibacterial (Antibiotics); ?Lactams; Carbapenems.

Other Monographs:
OxyacanthineTalastineMorphothebaineLevophacetoperane
Aniline MustardDiphenylamine-2,2'-dicarboxylic Acid2-Nitro-1,1-bis(p-chlorophenyl)propanePolybrominated Biphenyls
AL 721Magnesium ThiosulfatePygeum Africanum ExtractCarprofen
PrinomastatDomiodolCitralMyclobutanil
©2006-2023 DrugFuture->Chemical Index Database