Euprocin
Structural Formula Vector Image
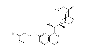
Title: Euprocin
CAS Registry Number: 1301-42-4
CAS Name: (8a,9R)-10,11-Dihydro-6¢-(3-methylbutoxy)cinchonan-9-ol
Additional Names: hydrocupreine isopentyl ether; isoamylhydrocupreine; isopentylhydrocupreine; eucupine
Trademarks: Eucupin (White)
Molecular Formula: C24H34N2O2
Molecular Weight: 382.54
Percent Composition: C 75.35%, H 8.96%, N 7.32%, O 8.36%
Literature References: Prepd from hydrocupreine and p-toluenesulfonic acid isopentyl ester: Slotta, Behnisch, Ber. 66, 360 (1933).
Properties: Almost tasteless powder, mp 152°. Sol in alc, ether, chloroform. Practically insol in water.
Melting point: mp 152°
 
Derivative Type: Dihydrochloride monohydrate
Molecular Formula: C24H34N2O2.2HCl.H2O
Molecular Weight: 473.48
Percent Composition: C 60.88%, H 8.09%, N 5.92%, O 10.14%, Cl 14.98%
Properties: Fine bitter needles. Sol in 15 parts water; freely sol in alc.
 
Therap-Cat: Anesthetic (local); antiseptic.
Keywords: Anesthetic (Local); Antiseptic/Disinfectant; Quinolines.
 
 
Status: This monograph has been retired and is no longer subject to revision or update.

Other Monographs:
Potassium Phosphate, MonobasicCalcium SilicateFluroxeneAcetic Acid Glacial
Triacetone TriperoxideEtiprostonLithium Tetracyanoplatinate(II)Polyoxyethylene Fatty Acid Esters
SampatrilatSarafotoxinsMethacrylic AcidValethamate Bromide
MepanipyrimButofilololn-Nonyl AlcoholDiclosulam
©2006-2023 DrugFuture->Chemical Index Database