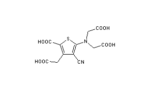
Ranelic Acid
Structural Formula Vector Image
Title: Ranelic Acid
CAS Registry Number: 135459-90-4
CAS Name: 5-[Bis(carboxymethyl)amino]-2-carboxy-4-cyano-3-thiopheneacetic acid
Additional Names: 2-[N,N-di(carboxymethyl)amino]-3-cyano-4-carboxymethylthiophene-5-carboxylic acid
Molecular Formula: C12H10N2O8S
Molecular Weight: 342.28
Percent Composition: C 42.11%, H 2.94%, N 8.18%, O 37.39%, S 9.37%
Literature References: Prepn: M. Wierzbicki et al., EP 415850; eidem, US 5128367 (1991, 1992 both to Adir & Co.).
Properties: Crystals from ethyl ether, contains 4% ether.
 
Derivative Type: Strontium salt
CAS Registry Number: 135459-87-9
Additional Names: Strontium ranelate
Manufacturers' Codes: S-12911
Trademarks: Osseor (Servier); Protelos (Servier); Protos (Servier)
Molecular Formula: C12H6N2O8SSr2
Molecular Weight: 513.49
Percent Composition: C 28.07%, H 1.18%, N 5.46%, O 24.93%, S 6.24%, Sr 34.13%
Literature References: Bone metabolism modulator; inhibits bone resorption while maintaining bone formation. Effect on human chondrocytes in vitro: Y. Henrotin et al., J. Bone Miner. Res. 16, 299 (2001). Effect on bone remodeling in monkeys: J. Buehler et al., Bone 29, 176 (2001). Clinical trial in postmenopausal osteoporosis: P. J. Meunier et al., N. Engl. J. Med. 350, 459 (2004).
 
Therap-Cat: Strontium salt as antiosteoporotic.

Other Monographs:
Tin PhosphidesBendazacItraconazoleDihydrotachysterol
CannabinolFichteliteMethylglyoxalZenarestat
CecropinsAluminum SilicateCefditorenPropionyl Chloride
Uranium HexafluorideSodium GlycerophosphatePotassium Phosphate, TribasicPhentetiothalein Sodium
©2006-2023 DrugFuture->Chemical Index Database