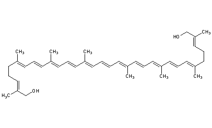
Lycophyll
Structural Formula Vector Image
Title: Lycophyll
CAS Registry Number: 19891-75-9
CAS Name: y,y-Carotene-16,16¢-diol
Additional Names: (all-trans)-lycopene-16,16¢-diol
Molecular Formula: C40H56O2
Molecular Weight: 568.87
Percent Composition: C 84.45%, H 9.92%, O 5.62%
Literature References: Carotenoid pigment, isoln from Solanum dulcamara L. and Lycopersicum esculentum Mill., Solanaceae and structure: Zechmeister, Cholnoky, Ber. 69, 422 (1936). Revised structure: Cholnoky, Szabolcs, Tetrahedron Lett. 1968, 1931. Stereochemistry: Kelly et al., Acta Chem. Scand. 25, 1607 (1971). Synthesis: Kjosen, Liaaen-jensen, ibid. 1500.
Properties: Purple leaflets from benzene + methanol, needles from benzene + petr ether, mp 179°. Absorption max (benzene): 521, 487, 456 nm. Freely sol in carbon disulfide, less in benzene, ethanol, very slightly sol in petr ether.
Melting point: mp 179°
Absorption maximum: Absorption max (benzene): 521, 487, 456 nm
 
Derivative Type: Dipalmitate
Properties: Purple needles from benzene + methanol, mp 76°.
Melting point: mp 76°

Other Monographs:
ErythrocentaurinCalcium ThiocyanateFerumoxsilOxadiargyl
Perchloryl FluorideMethyl Linoleatem-DichlorobenzeneFerric Acetate, Basic
Chlorthenoxazin(e)AcetaminophenSodium BicarbonatePulegone
2,5-Bis(1-aziridinyl)-3,6-bis(2-methoxyethoxy)-1,4-benzoquinoneCholestanolSulfaethidoleMaleuric Acid
©2006-2023 DrugFuture->Chemical Index Database