Prallethrin
Structural Formula Vector Image
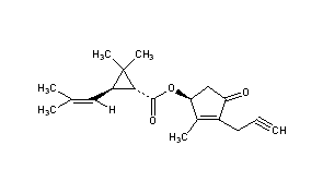
Title: Prallethrin
CAS Registry Number: 23031-36-9
CAS Name: 2,2-Dimethyl-3-(2-methyl-1-propenyl)cyclopropanecarboxylic acid 2-methyl-4-oxo-3-(2-propynyl)-2-cyclopenten-1-yl ester
Additional Names: (S)-2-methyl-4-oxo-3-(2-propynyl)cyclopent-2-enyl (1R)-cis-trans-chrysanthemate
Manufacturers' Codes: S-4068; S-4068SF
Trademarks: Etoc (Sumitomo)
Molecular Formula: C19H24O3
Molecular Weight: 300.39
Percent Composition: C 75.97%, H 8.05%, O 15.98%
Literature References: Synthetic pyrethroid; propynyl analog of allethrin. The commercial product is a mixture of the ester of the (4S)-alcohol with the (1R)-cis/trans-chrysanthemic acids; the trans isomer is the most bioactive. Initial report: W. A. Gersdorff, P. G. Piquett, J. Econ. Entomol. 54, 1250 (1961). Synthesis and resolution of labelled commerical isomers: H. Kanamaru et al., J. Labelled Compd. Radiopharm. 23, 995 (1986). Pharmacology: T. Segawa et al., Oyo Yakuri 34, 181 (1987). Insecticidal activity: T. Matsunaga et al., Jpn. J. Sanit. Zool. 38, 219 (1987). Efficacy against mosquitoes: R. L. Groves et al., J. Am. Mosq. Control Assoc. 13, 184 (1997). Review of biological activity: Y. Abe et al., Brighton Crop Prot. Conf. - Pests Dis. 1994, 1023. Brief review of structure-activity: N. Matsuo, Pestic. Sci. 52, 21-28 (1998).
Properties: Yellow to yellow brown liquid (commerical product). d420 1.03. Vapor pressure (20°): 3.5 ´ 10-5; (30°) 1.0 ´ 10-4 mm Hg. Sol in most organic solvents. Soly in water (25°): 8.51 ppm.
Density: d420 1.03
Use: Insecticide.

Other Monographs:
Isobutyl p-AminobenzoateBeryllium AcetateWoodruffDiboron Tetrachloride
CarbendazimEthyl BromideAmmonium Phosphate, MonobasicClostebol
Sodium Rhodizonate2-BromonaphthaleneAmlodipine4,4'-Diaminodiphenylamine
SulforidazineBendiocarbPotassium MetabisulfiteGlycerophosphoric Acid
©2006-2023 DrugFuture->Chemical Index Database