Technetium 99mTc Teboroxime
Structural Formula Vector Image
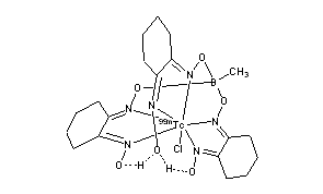
Title: Technetium 99mTc Teboroxime
CAS Registry Number: 104716-22-5
CAS Name: (TPS-7-1-232¢4¢54)-[Bis[(1,2-cyclohexanedione dioximato)(1-)-O] [(1,2-cyclohexanedione dioximato)(2-)-O]methylborato(2-)-N,N¢,N¢¢,N¢¢¢,N¢¢¢¢,N¢¢¢¢¢]chlorotechnetium-99mTc
Additional Names: CDO-MeB
Manufacturers' Codes: SQ-30217
Trademarks: Cardiotec (BMS)
Molecular Formula: C19H29BClN6O699mTc
Literature References: Neutral, lipophilic technetium complex classified as a boronic acid adduct of technetium dioxime (BATO); radioactive myocardial perfusion imaging agent. Prepn: A. D. Nunn et al., EP 199260; eidem, US 4705849 (1986, 1987 both to Squibb); and structural characterization: E. N. Treher et al., Inorg. Chem. 28, 3411 (1989). Pharmacokinetics: R. E. Stewart et al., J. Nucl. Med. 31, 1183 (1990). Reviews of physiologic properties and pharmacology: D. J. Meerdink, J. A. Leppo, Am. J. Cardiol. 66, 9E-15E (1990); of clinical pharmacokinetics and comparative studies of myocardial imaging: L. L. Johnson, D. W. Seldin, ibid. 63E-67E; of diagnostic use in coronary artery disease: J. A. Leppo et al., J. Nucl. Med. 32, 2012-2022 (1991).
Therap-Cat: Diagnostic aid (radioactive imaging agent).
Keywords: Diagnostic Aid (Radioactive Imaging Agent).

Other Monographs:
Tropine BenzylateSilicon DisulfideBentiromideArsenic Hemiselenide
Hydramethylnonα-YohimbinePiscidic AcidDi-tert-butyl Ether
ClinafloxacinGeraniolAmmonium NitroferricyanideIsopentyl Alcohol
VasopressinTropacineD-FucoseBis(2-mercaptoethyl)sulfone
©2006-2023 DrugFuture->Chemical Index Database