Sabadine
Structural Formula Vector Image
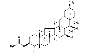
Title: Sabadine
CAS Registry Number: 124-80-1
CAS Name: (3b,4a,16b)-Cevane-3,4,12,14,16,17,20-heptol 3-acetate
Additional Names: sabatine
Molecular Formula: C29H47NO8
Molecular Weight: 537.69
Percent Composition: C 64.78%, H 8.81%, N 2.60%, O 23.80%
Literature References: Isolated from Sabadilla seed: Merck, Arch. Pharm. 229, 164 (1891); Hennig et al., J. Am. Pharm. Assoc. 40, 168 (1951). Structure: Auterhoff, Schwartz, Arch. Pharm. 288, 549 (1955); Möhrle, Auterhoff, ibid. 292, 337 (1959); Kupchan et al., J. Med. Pharm. Chem. 5, 690 (1962). NMR data: Ito et al., Tetrahedron 20, 913 (1964).
Properties: Prisms, mp 256-258° (dec). [a]D25 -11° (c = 1.93 in alc).
Melting point: mp 256-258° (dec)
Optical Rotation: [a]D25 -11° (c = 1.93 in alc)
 
 
Status: This monograph has been retired and is no longer subject to revision or update.

Other Monographs:
Citrazinic AcidTetrahydrothiophene1-Naphthylamine-4,6-disulfonic Acid1-Naphthol
PlaunotolJuniper TarPotassium ThiosulfatePotassium Hexachloroosmate(IV)
Bexarotenesym-Dichloroethyl EtherCystatinsStreptomycin
Ethyl BiscoumacetateN,N'-DiethylcarbanilideChlorozotocinPseudoephedrine
©2006-2023 DrugFuture->Chemical Index Database