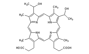
Hematoporphyrin
Structural Formula Vector Image
Title: Hematoporphyrin
CAS Registry Number: 14459-29-1
CAS Name: 7,12-Bis(1-hydroxyethyl)-3,8,13,17-tetramethyl-21H,23H-porphine-2,18-dipropanoic acid
Additional Names: 7,12-bis(1-hydroxyethyl)-3,8,13,17-tetramethyl-2,18-porphinedipropionic acid; 1,3,5,8-tetramethyl-2,4-bis(a-hydroxyethyl)porphine-6,7-dipropionic acid; hematoporphyrin IX
Trademarks: Photodyn
Molecular Formula: C34H38N4O6
Molecular Weight: 598.69
Percent Composition: C 68.21%, H 6.40%, N 9.36%, O 16.03%
Literature References: Prepd from hemin by the action of hydrobromic acid in glacial acetic acid: Fischer-Orth, Die Chemie des Pyrrols II, 1, 421 (Leipzig, 1937). Review and prepn: J. E. Falk, Porphyrins and Metalloporphyrins (Elsevier, New York, 1964) pp 175-177.
Properties: Deep red crystals. Absorption max (0.1N KOH): 615.5, 565, 534.4, 499.5 nm. Insol in water. Sol in alc. Sparingly sol in ether, chloroform.
Absorption maximum: Absorption max (0.1N KOH): 615.5, 565, 534.4, 499.5 nm
 
Derivative Type: Hydrochloride monohydrate
CAS Registry Number: 6033-08-5
Trademarks: Sensibion
Molecular Formula: C34H38N4O6.HCl.H2O
Molecular Weight: 653.16
Percent Composition: C 62.52%, H 6.33%, N 8.58%, O 17.15%, Cl 5.43%
Literature References: Prepn of a stable product: Woods, Steigman, US 2858320 (1958 to Baxter Labs.).
Properties: Dark red crystals.
 
Therap-Cat: Antidepressant.
Keywords: Antidepressant.

Other Monographs:
Pradofloxacin2-Naphthyl Salicylate2-DiethylaminoethanolNizofenone
MethyldiphenylamineCadmium CyanideTribromoethanolCystatins
2,4-DinitrobenzaldehydeNorfloxacinAurothioglycanideMercuric Salicylate
Phenactropinium ChlorideLimettinSulfur ChlorideRhenium Oxychloride
©2006-2023 DrugFuture->Chemical Index Database