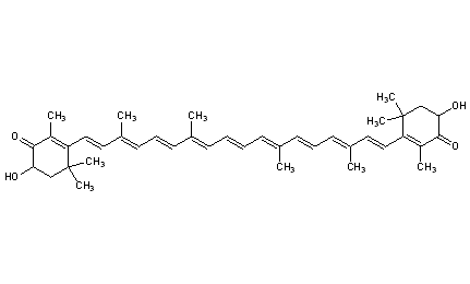
Astaxanthin
Structural Formula Vector Image
Title: Astaxanthin
CAS Registry Number: 472-61-7
CAS Name: 3,3¢-Dihydroxy-b,b-carotene-4,4¢-dione
Additional Names: 3,3¢-dihydroxy-4,4¢-diketo-b-carotene; ovoester
Molecular Formula: C40H52O4
Molecular Weight: 596.84
Percent Composition: C 80.50%, H 8.78%, O 10.72%
Literature References: Carotenoid pigment found mostly in animal organisms, but also occurring in plants; thought to be the precursor of astacin, q.v. Structure and isoln from lobster eggs: Kuhn, Sörensen, Angew. Chem. 51, 465 (1938); Ber. 71, 1879 (1938). Isoln from other animal organisms: Kuhn et al., Ber. 72, 1688 (1939). Occurrence in plants: Tischer, Z. Physiol. Chem. 267, 281 (1941); in the flower petals of Adonis annua L., Ranunculaceae: Seybold, Goodwin, Nature 184, 1714 (1959). Occurs also in the red feathers of birds of the Laniarius spp: Z. Physiol. Chem. 288, 20 (1951). Stereochemistry and spectra: Grangaud, Compt. Rend. 242, 1767 (1956). Abs config: Andrewes et al., Acta Chem. Scand. B 28, 730 (1974). See also T. W. Goodwin, Carotenoids (Chemical Publ. Co., New York, 1954) pp 167-172. Synthesis: R. D. G. Cooper et al., J. Chem. Soc. Perkin Trans. 1 1975, 2195; F. Kienzle, H. Mayer, Helv. Chim. Acta 61, 2609 (1978); E. Widmer et al., ibid. 64, 2405 (1981); H. Mayer et al., ibid. 2419.
Properties: Needles from acetone/light petroleum, mp 182-183°. uv max: (CS2) 503 nm; (methanol) 472 nm; (hexane) 466-467 nm; (chloroform) 485 nm (Cooper et al.). Also reported as shiny purple platelets with gold luster from pyridine, mp 216° (some decompn). Readily sol in pyridine, from which it can be cryst by the addn of water (Kuhn, Sörensen).
Melting point: mp 182-183°; mp 216° (some decompn)
Absorption maximum: uv max: (CS2) 503 nm; (methanol) 472 nm; (hexane) 466-467 nm; (chloroform) 485 nm (Cooper et al.)
 
Derivative Type: Diacetate
Molecular Formula: C44H56O6
Molecular Weight: 680.91
Percent Composition: C 77.61%, H 8.29%, O 14.10%
Properties: Stout, blue-black needles, mp 203-205° (vac).
Melting point: mp 203-205° (vac)

Other Monographs:
SubtilinVanadium PentafluorideAurothioglucosePhentolamine
DigitalisTaraxasterolDi-tert-butyl TricarbonateProtriptyline
Tristriphenylphosphine Rhodium Carbonyl HydrideCyclexanoneOxyphenisatin AcetateDihydrothebaine
AmpelopsinSodium BromideThallium Mononitrateβ-Glucuronidase
©2006-2023 DrugFuture->Chemical Index Database