Aplasmomycin
Structural Formula Vector Image
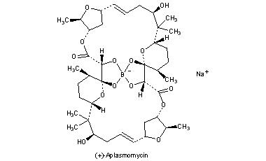
Title: Aplasmomycin
CAS Registry Number: 61230-25-9
Manufacturers' Codes: ICI-122378
Molecular Formula: C40H60BNaO14
Molecular Weight: 798.70
Percent Composition: C 60.15%, H 7.57%, B 1.35%, Na 2.88%, O 28.04%
Literature References: Antibiotic produced by Streptomyces griseus strain SS-20, obtained from shallow sea mud: Y. Okami et al., J. Antibiot. 29, 1019 (1976); eidem, JP Kokai 77 108901 (1977 to Microbiochem. Res. Found.), C.A. 88, 35843 (1978). It inhibits the growth of gram-positive bacteria in vitro and is active vs Plasmodium berghei in vivo. Aplasmomycin is a symmetrical dimer related to boromycin, q.v., the only other known natural product that contains boron. Structure, x-ray crystallography: H. Nakamura et al., J. Antibiot. 30, 714 (1977). Total synthesis of (+)-form: E. J. Corey et al., J. Am. Chem. Soc. 104, 6816, 6818 (1982); T. Nakata et al., Tetrahedron Lett. 27, 6341, 6345 (1986); J. D. White et al., J. Am. Chem. Soc. 108, 8105 (1986). Use as growth promotant in ruminants: D. H. Davies et al., EP 2893; eidem, US 4225593 (1979, 1980 both to ICI). Two minor components, aplasmomycins B and C, have also been isolated from the fermentation; both aplasmomycin and aplasmomycin B show ionophoric properties, mediating net K+ transport across a bulk phase: K. Sato et al., J. Antibiot. 31, 632 (1978). NMR analysis of aplasmomycin and deboroaplasmomycin: T. S. S. Chen et al., ibid. 33, 1316 (1980). Comparative anti-anaerobic activity of aplasmomycin: K. Watanabe et al., Antimicrob. Agents Chemother. 19, 519 (1981). Structural studies: T. J. Stout et al., Tetrahedron 47, 3511 (1991). Review of biosynthetic studies: H. G. Floss, C. Chang in Antibiotics IV, J. W. Corcoran, Ed. (Springer-Verlag, New York, 1981) pp 203-210.
Properties: Colorless needles, mp 283-285° (dec). [a]D22 +225° (c = 1.24 in chloroform). Very lipophilic. Practically insol in water. LD50 i.p. in mice: 125 mg/kg (Okami).
Melting point: mp 283-285° (dec)
Optical Rotation: [a]D22 +225° (c = 1.24 in chloroform)
Toxicity data: LD50 i.p. in mice: 125 mg/kg (Okami)
 
Derivative Type: Silver salt
Molecular Formula: C40H60AgBO14
Molecular Weight: 883.58
Percent Composition: C 54.37%, H 6.84%, Ag 12.21%, B 1.22%, O 25.35%
Properties: Colorless needles, mp 218-220°. [a]D23 +194° (c = 0.34 in chloroform).
Melting point: mp 218-220°
Optical Rotation: [a]D23 +194° (c = 0.34 in chloroform)
 
Use: Growth promotant in ruminants.

Other Monographs:
Ammonium BorateOxamylPotassium Persulfate1-Anilino-8-naphthalenesulfonate
FenbendazoleSodium Tetradecyl SulfateNeomethymycinNickel Nitrate
EsculetinMethyl Silicone ResinsBenzphetamineOxantel
Allyl BromideCarbostyril5-Bromosalicylic Acid AcetateMorphenol
©2006-2023 DrugFuture->Chemical Index Database