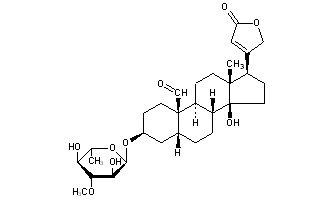
Peruvoside
Structural Formula Vector Image
Title: Peruvoside
CAS Registry Number: 1182-87-2
CAS Name: (3b,5b)-3-[(6-Deoxy-3-O-methyl-a-L-glucopyranosyl)oxy]-14-hydroxy-19-oxocard-20(22)-enolide
Additional Names: cannogenin a-L-thevetoside
Trademarks: Encordin (Merck KGaA)
Molecular Formula: C30H44O9
Molecular Weight: 548.66
Percent Composition: C 65.67%, H 8.08%, O 26.24%
Literature References: Cardenolide (cardiac glycoside) found in seeds of the tropical garden plant Thevetia peruviana (Pers.) K. Schum. (Th. neriifolia Juss.), Apocynaceae (named trumpet flower in Florida). Isoln: Rangaswami, Venkata Rao, J. Sci. Ind. Res. 17B, 331 (1958). Structure: Bloch et al., Helv. Chim. Acta 43, 652 (1960). Pharmacological studies: Arzneim.-Forsch. 18, 1582-1608 (1968).
Properties: Spears from methanol + ether, mp 161-164°. [a]D22 -71.7° (c = 1.54 in methanol). One gram dissolves in ~2500 ml water. Freely soluble in chloroform and acetone, sparingly soluble in methanol and ethanol.
Melting point: mp 161-164°
Optical Rotation: [a]D22 -71.7° (c = 1.54 in methanol)
Therap-Cat: In cardiac insufficiency.
 
 
Status: This monograph has been retired and is no longer subject to revision or update.

Other Monographs:
Mercuric Oxide, RedAngeli's SaltOlopatadineChlordecone
Blue CohoshPropenzolateSodium BifluorideBenorylate
CyheptamideSecobarbital SodiumLuteinizing HormoneN-(2-Chloroethyl)dibenzylamine Hydrochloride
Indium SelenideCervicarcinIsobutyl CyanoacrylateChlorproethazine
©2006-2023 DrugFuture->Chemical Index Database