Chlorophyll
Structural Formula Vector Image
Title: Chlorophyll
CAS Registry Number: 1406-65-1
Literature References: The green pigment of plants. Higher plants and green algae contain chlorophyll a and chlorophyll b in the approx ratio of 3:1. Chlorophyll c is found together with chlorophyll a in many types of marine algae: Jeffrey, Biochem. J. 86, 313 (1963). Red algae (Rhodophyta) contain principally chlorophyll a and also chlorophyll d: Manning, Strain, J. Biol. Chem. 151, 1 (1943). Isoln by chromatography: Tswett, Ber. Dtsch. Bot. Ges. 24, 316, 385 (1906); Willstätter, Stoll, Investigations on Chlorophyll (transl by Schertz and Merz: Lancaster, 1928); Schertz, Ind. Eng. Chem. 30, 1073 (1938); Fischer-Orth-Stern, Die Chemie des Pyrrols Vol. II, part 2 (Leipzig, 1940); Zechmeister, Cholnoky, Principles and Practice of Chromatography (New York, 1943). Industrial large-scale isoln processes: Judah et al., Ind. Eng. Chem. 46, 2262 (1954). Structure: Fischer-Orth-Stern, loc. cit.; Ficken et al., J. Chem. Soc. 1956, 2273. Total synthesis of chlorophyll a: Woodward et al., J. Am. Chem. Soc. 82, 3800 (1960); Angew. Chem. 72, 651 (1960); Strell et al., ibid. 169; Woodward, Pure Appl. Chem. 2, 383 (1963). Abs config of chlorophylls a and b: Brockmann, Ann. 754, 139 (1971); Brockmann, Bode, Ann. 1974 (7), 1017. 13C-NMR study of chlorophyll a: S. Lötjönen, P. H. Hynninen, Org. Magn. Reson. 16, 304 (1981); of chlorophyll b: N. Risch, H. Brockmann, Tetrahedron Lett. 24, 173 (1983). Review of syntheses: Johnson, Sci. Prog. 49, 77 (1961). Comprehensive reviews with bibliography: Stoll, Wiedemann, Fortschr. Chem. Org. Naturst. 1, 159-254 (1938); Fortschr. Chem. Forsch. 2, 538 (1952); The Chlorophylls, L. P. Vernon, G. R. Seely, Eds. (Academic Press, New York, 1966) 679 pp; Inhoffen et al., Fortschr. Chem. Org. Naturst. 26, 284-298 (1968); Inhoffen, Pure Appl. Chem. 17, 443-460 (1968).
 
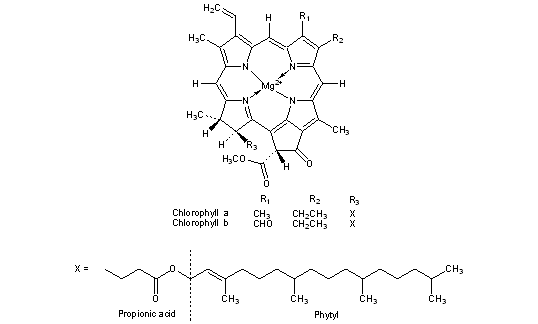
Derivative Type: Chlorophyll a
CAS Registry Number: 479-61-8
Molecular Formula: C55H72MgN4O5
Molecular Weight: 893.49
Percent Composition: C 73.93%, H 8.12%, Mg 2.72%, N 6.27%, O 8.95%
Properties: R = CH3. Sepn and purification: Anderson, Calvin, Nature 194, 285 (1962). Waxy blue-black microcrystals, usually aggregates of thin, lancet-like leaflets, mp 117-120°. [a]D20 -262° (acetone). Absorption max (ether): 660, 613, 577, 531, 498, 429, 409 nm. Freely sol in ether, ethanol, acetone, chloroform, carbon disulfide, benzene. Sparingly sol in cold methanol. Practically insol in petr ether. The alcoholic soln is blue-green with a deep-red fluorescence.
Melting point: mp 117-120°
Optical Rotation: [a]D20 -262° (acetone)
Absorption maximum: Absorption max (ether): 660, 613, 577, 531, 498, 429, 409 nm
 
Derivative Type: Chlorophyll b
CAS Registry Number: 519-62-0
Molecular Formula: C55H70MgN4O6
Molecular Weight: 907.47
Percent Composition: C 72.79%, H 7.78%, Mg 2.68%, N 6.17%, O 10.58%
Properties: R = CHO. Waxy blue-black microcrystals. Sinters between 86° and 92°, becomes a viscous liquid at 120-130° and then begins to puff up in large bubbles. [a]D20 -267° (acetone-methanol). Absorption max (ether): 642, 593, 565, 545, 453, 427 nm. Sparingly sol in petr ether, ligroin, cold methanol. Freely sol in abs alcohol, ether. The ether soln has a brilliant green color. Solns with other organic solvents are usually green to yellowish-green with red fluorescence.
Optical Rotation: [a]D20 -267° (acetone-methanol)
Absorption maximum: Absorption max (ether): 642, 593, 565, 545, 453, 427 nm
 
Derivative Type: Chlorophyll c
Properties: Structure: Dougherty et al., J. Am. Chem. Soc. 88, 5037 (1966). Reddish-black hexagonal bipyramids or four-sided plates from dil ethanol. Absorption max (acetone): 628, 580, 442 nm (E1cm0.1% 15.8, 10.7, 115.9). Sol in methanol, ethanol, ethyl acetate; practically insol in ether, acetone.
Absorption maximum: Absorption max (acetone): 628, 580, 442 nm (E1cm0.1% 15.8, 10.7, 115.9)
 
Derivative Type: Chlorophyll d
Molecular Formula: C54H70MgN4O6
Molecular Weight: 895.46
Percent Composition: C 72.43%, H 7.88%, Mg 2.71%, N 6.26%, O 10.72%
Properties: Chlorophyll a with the 9-vinyl group replaced by a formyl group: Holt, Morley, Can. J. Chem. 37, 507 (1959); Holt, Can. J. Bot. 39, 327 (1961). Absorption max (ether): 686, 445 nm. The chlorophyll of commerce is an intensely dark-green, aq, alc, or oil soln. Careful alkaline hydrolysis of chlorophyll opens the cyclopentanone ring and replaces the methyl and phytyl ester groups with Na or K; the resulting salts are called chlorophyllins and are water sol, e.g. sodium magnesium chlorophyllin, C34H31N4Na3MgO6. Acid treatment of chlorophyll removes the Mg replacing it with H2 which can be replaced with other metals, e.g. iron pheophytin, C55H72FeN4O5, sol in oil. Comprehensive review with 89 refs: "Chlorophyll Derivatives, Their Chemistry, Commercial Preparation and Uses" by J. C. Kephart in Econ. Bot. 9, 3-38 (1955). Exhaustive analysis and description of commercial chlorophyllin prepns: Strell et al., Arzneim.-Forsch. 5, 640 (1955); 6, 8 (1956). Trademarks: Chloresium (Rystan) , Chlorofolin, Darotol, Ennds, Exodor-Grun, Nullo Chlorophyll (DePree) , Stozzon-Chlorophyll.
Absorption maximum: Absorption max (ether): 686, 445 nm
 
Use: To color soaps, oils, fats, waxes, confectionery, preserves, liquors, cosmetics, perfumes. Source of phytol. For dyeing leather. As sensitizer for color film. Has been used as antiknock agent in gasoline; as accelerator in the vulcanizing of rubber; in deodorizers.
Therap-Cat: Deodorant.
Therap-Cat-Vet: Has been used orally to reduce odors, and topically to promote healing of skin lesions.

Other Monographs:
Adenosine TriphosphateProxyphyllineDimestrolIomeglamic Acid
Sodium Silicate SolutionCinnamedrineN-NitrosodimethylamineFrancium
Penicillamine Disulfide9H-FluoreneDimethylolpropionic AcidN-Phenylglycine
AdrenolutinCupric Hexafluorosilicate3'-Methylphthalanilic AcidMagnesium Permanganate
©2006-2023 DrugFuture->Chemical Index Database