Gadoversetamide
Structural Formula Vector Image
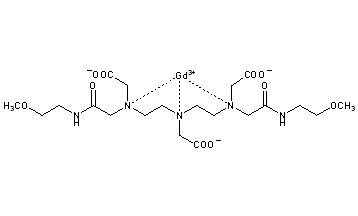
Title: Gadoversetamide
CAS Registry Number: 131069-91-5
CAS Name: [8,11-Bis(carboxymethyl)-14-[2-[(2-methoxyethyl)amino]-2-oxoethyl]-6-oxo-2-oxa-5,8,11,14-tetraazahexadecan-16-oato(3-)]gadolinium
Additional Names: [N,N¢¢-bis[N-(2-methoxyethyl)-carbamoylmethyl]diethylenetriamine-N,N¢,N¢¢-triaceto]gadolinium (III); gadolinium diethylenetriamine pentaacetic acid bis(methyoxyethylamide); Gd-DTPA-BMEA
Manufacturers' Codes: MP-1177
Trademarks: OptiMARK (Mallinckrodt)
Molecular Formula: C20H34GdN5O10
Molecular Weight: 661.76
Percent Composition: C 36.30%, H 5.18%, Gd 23.76%, N 10.58%, O 24.18%
Literature References: Nonionic paramagnetic contrast agent. Prepn: R. W. Weber, M. P. Periasamy, WO 9001024; R. W. Weber, US 5130120 (1990, 1992 both to Mallinckrodt); M. Periasamy et al., Invest. Radiol. 26, S217 (1991). Paramagentic profile: K. Adzamli et al., ibid. 34, 410 (1999). Clinical pharmacokinetics: S. K. Swan et al., J. Magn. Reson. Imaging 9, 317 (1999). Clinical study in liver imaging: D. L. Rubin et al., ibid. 240; in CNS imaging: R. I. Grossman et al., Invest. Radiol. 35, 412 (2000).
Properties: Prepd as 0.5 mmol/ml soln, osmolality (37°) 1110 mOsmol/kg water. Viscosity (cP): 3.1 (20°), 2.0 (37°). d25 1.160. Log P (butanol/water): -1.93. LD50 i.v. in mice: 30.3 mmol/kg (Periasamy).
Log P: Log P (butanol/water): -1.93
Density: d25 1.160
Toxicity data: LD50 i.v. in mice: 30.3 mmol/kg (Periasamy)
Therap-Cat: Diagnostic aid (MRI contrast agent).
Keywords: Diagnostic Aid (MRI Contrast Agent).

Other Monographs:
Orange BGuanidinium Aluminum Sulfate HexahydrateCyclocumarol3-Amino-4-hydroxybutyric Acid
FertilysinCassia FistulaStreptolydiginCobaltous Arsenate
MisoprostolSabeluzoleBetahistineRaubasine
p-Diazobenzenesulfonic AcidMethamphetamine2-Naphthol-3,6-disulfonic AcidEPTC
©2006-2023 DrugFuture->Chemical Index Database