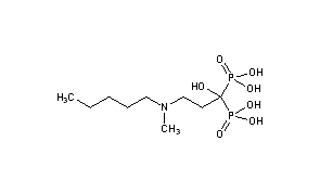
Ibandronic Acid
Structural Formula Vector Image
Title: Ibandronic Acid
CAS Registry Number: 114084-78-5
CAS Name: [1-Hydroxy-3-(methylpentylamino)propylidene]bisphosphonic acid
Molecular Formula: C9H23NO7P2
Molecular Weight: 319.23
Percent Composition: C 33.86%, H 7.26%, N 4.39%, O 35.08%, P 19.41%
Literature References: Bisphosphonate antiresorptive agent. Prepn: R. Gall, E. Bosies, DE 3623397; eidem, US 4927814 (1988, 1990 both to Boehringer Mann.). Inhibition of bone resorption: R. C. Mühlbauer et al., J. Bone Miner. Res. 6, 1003 (1991). Mechanism of action study: C. Vitté et al., Endocrinology 137, 2324 (1996). Clinical trial in cancer-associated hypercalcemia: M. Pecherstorfer et al., J. Clin. Oncol. 14, 268 (1996); in osteoporosis: P. Ravn et al., Bone 19, 527 (1996). Review of pharmacology and clinical efficacy: M. Dooley, J. A. Balfour, Drugs 57, 101-108 (1999); of clinical experience in osteoporosis: R. D. Chapurlat, P. D. Delmas, Expert Opin. Pharmacother. 4, 391-396 (2003); of development and therapeutic potential: L. Gennari, IDrugs 8, 155-169 (2005).
Properties: Dec 84°.
 
Derivative Type: Sodium salt
CAS Registry Number: 138926-19-9 (monohydrate); 138844-81-2 (anhydrous)
Additional Names: Ibandronate sodium
Manufacturers' Codes: BM-21.0955
Trademarks: Bondronat (Roche); Boniva (Roche); Bonviva (Roche)
Molecular Formula: C9H22NNaO7P2
Molecular Weight: 341.21
Percent Composition: C 31.68%, H 6.50%, N 4.11%, Na 6.74%, O 32.82%, P 18.16%
Properties: Occurs as the monohydrate.
 
Therap-Cat: Bone resorption inhibitor.
Keywords: Antiosteoporotic; Bone Resorption Inhibitor.

Other Monographs:
ResorantelUrea StibamineBenzoxonium ChlorideBromthymol Blue
LumazineTetraphenylarsonium BromideTiaprofenic AcidMethyl tert-Butyl Ether
5-Nitro-2-propoxyanilineErdinCinnamoylcocaine3,5-Diiodosalicylic Acid
Guaiac2,5-Di-tert-pentylhydroquinoneFenipentolNaphthalic Acid
©2006-2023 DrugFuture->Chemical Index Database