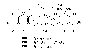
Filixic Acids
Structural Formula Vector Image
Title: Filixic Acids
Additional Names: Filicin; filicic acid; Filixsäure (German)
Literature References: Natural filixic acid from male fern, Dryopteris filix-mas, is a mixture of six homologues, the 3 main components (BBB, PBB, PBP) of which are obtained by recrystallization from ethyl acetate. When raw filixic acid is purified by treatments with methanol but without recrystns from ethyl acetate, a product is obtained which seems to contain 3 additional homologues with an analogous composition but with acetyl groups in the side chain. Isoln: Luck, Ann. 54, 119 (1845); Boehm, ibid. 318, 253 (1901). Structure studies: Riedl, Ann. 585, 32 (1954); Chan, Hassal, Experientia 13, 349 (1957). Structure of the three main filixic acids: Penttilä, Sundman, Acta Chem. Scand. 17, 191 (1963).
Properties: Natural filixic acid, pale-yellow plates from ethyl acetate, mp 184-185°. uv max: 228, 288 nm (e 41000, 29000). Practically insol in water, methanol, acetone. Sol in chloroform, benzene, warm ethyl acetate, acetic acid; slightly sol in ether.
Melting point: mp 184-185°
Absorption maximum: uv max: 228, 288 nm (e 41000, 29000)
 
Derivative Type: BBB
CAS Registry Number: 4482-83-1
Molecular Formula: C36H44O12
Molecular Weight: 668.73
Percent Composition: C 64.66%, H 6.63%, O 28.71%
Properties: Crystals from ethyl acetate, mp 172-174°.
Melting point: mp 172-174°
 
Derivative Type: PBB
CAS Registry Number: 49582-09-4
Molecular Formula: C35H42O12
Molecular Weight: 654.70
Percent Composition: C 64.21%, H 6.47%, O 29.33%
Properties: Crystals from ethyl acetate, mp 184-186°.
Melting point: mp 184-186°
 
Derivative Type: PBP
CAS Registry Number: 51005-85-7
Molecular Formula: C34H40O12
Molecular Weight: 640.67
Percent Composition: C 63.74%, H 6.29%, O 29.97%
Properties: Crystals from ethyl acetate, mp 192-194°.
Melting point: mp 192-194°
 
Therap-Cat-Vet: Has been used as an anthelmintic.

Other Monographs:
α-Methyl-m-tyrosineNitrogen ChlorideArsenoacetic AcidSoman
N-PhenylglycineTetraglymep-Aminosalicylic AcidBarium Hydroxide
Diamyl Sodium SulfosuccinateCalcium AluminosilicateMercuric Chloride, AmmoniatedMenyanthes
Ammonium Platinic ChlorideDonovan's SolutionPotassium Hexafluoromanganate(IV)Parsalmide
©2006-2023 DrugFuture->Chemical Index Database