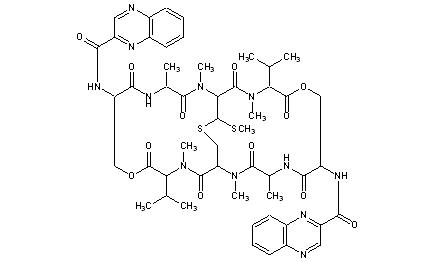
Echinomycin
Structural Formula Vector Image
Title: Echinomycin
CAS Registry Number: 512-64-1
Additional Names: Quinomycin A
Molecular Formula: C51H64N12O12S2
Molecular Weight: 1101.26
Percent Composition: C 55.62%, H 5.86%, N 15.26%, O 17.43%, S 5.82%
Literature References: A "quinoxaline antibiotic" similar to the triostins, q.v.: Kuroya, Ishida, J. Antibiot. 14A, 324 (1961). Powerful, selective inhibitor of nucleic acid synthesis in vitro. Produced by Streptomyces echinatus from soil of Cuanza (Angola): Corbaz et al., Helv. Chim. Acta 40, 199 (1957). Structure: Keller-Schierlein et al., ibid. 42, 305 (1959). Revised structure: Dell et al., J. Am. Chem. Soc. 97, 2497 (1975); D. G. Martin et al., J. Antibiot. 28, 332 (1975). Identity with quinomycin A: Katagiri, Sugiura, Antimicrob. Agents Chemother. 1961, 162. Biosynthesis: Arif et al., Indian J. Biochem. 7, 193 (1970). Isoln and properties of the other quinomycins: Yoshida, Katagiri, J. Antibiot. 14A, 330 (1961); Otsuka, Shoji, ibid. 19A, 128 (1966); eidem, Tetrahedron 23, 1535 (1967). Conformation in soln: H. T. Cheung et al., J. Am. Chem. Soc. 100, 46 (1978). Review of chemistry and biochemistry of echinomycin: M. J. Waring in Antibiotics vol. 5(pt. 2), F. E. Hahn, Ed. (Springer-Verlag, New York, 1979) pp 173-194.
Properties: Slightly hygroscopic crystals, mp 217-218°. [a]D20 -310° (c = 0.86 in chloroform). uv max (methanol): 243, 320 nm (E1%1cm 622, 100). Has lipophile solubilities. Easily sol in chloroform, dioxane. Insol in water, petr ether, hexane.
Melting point: mp 217-218°
Optical Rotation: [a]D20 -310° (c = 0.86 in chloroform)
Absorption maximum: uv max (methanol): 243, 320 nm (E1%1cm 622, 100)

Other Monographs:
DoxefazepamGold Tribromide, AcidCalcium 3-Aurothio-2-propanol-1-sulfonateMesitylene
Lithium Selenate3-Chloro-2-methyl-1-propeneSofalconeNeocuproine
AzimsulfuronJasmonic AcidPegaptanib SodiumSodium β-Sulfopropionitrile
Hercynineγ-HydroxybutyrateSodium BifluorideDisulfamide
©2006-2023 DrugFuture->Chemical Index Database