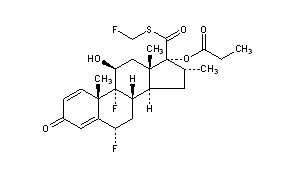
Fluticasone Propionate
Structural Formula Vector Image
Title: Fluticasone Propionate
CAS Registry Number: 80474-14-2
CAS Name: (6a,11b,16a,17a)-6,9-Difluoro-11-hydroxy-16-methyl-3-oxo-17-(1-oxopropoxy)androsta-1,4-diene-17-carbothioic acid S-(fluoromethyl) ester
Additional Names: S-fluoromethyl 6a,9a-difluoro-11b-hydroxy-16a-methyl-17a-propionyloxy-3-oxoandrosta-1,4-diene-17b-carbothioate
Manufacturers' Codes: CCI-18781
Trademarks: Cutivate (GSK); Flixonase (GSK); Flixotide (GSK); Flonase (GSK); Flovent (GSK); Flunase (GSK)
Molecular Formula: C25H31F3O5S
Molecular Weight: 500.57
Percent Composition: C 59.99%, H 6.24%, F 11.39%, O 15.98%, S 6.41%
Literature References: Derivative of flumethasone, q.v. Prepn: NL 81 00707; G. H. Phillipps et al., US 4335121 (1981, 1982 both to Glaxo). Series of articles on structure-activity, pharmacology and clinical studies: Respir. Med. 84, Suppl. A, 19-35 (1990). Clinical trials in allergic rhinitis: E. O. Meltzer et al., J. Allergy Clin. Immunol. 86, 221 (1990). Evaluation in untreated celiac disease: H. C. Mitchison et al., Gut 32, 260 (1991). Clinical trials in COPD: P. L. Paggiaro et al., Lancet 351, 773 (1998); P. S. Burge et al., Br. Med. J. 320, 1297 (2000). Clinical comparison with zafirlukast, q.v., in persistant asthma: J. H. Brabson et al., Am. J. Med. 113, 15 (2002).
Properties: Crystals, mp 272-273° (dec). [a]D +30° (c = 0.35). Practically insol in water. Freely sol in DMSO, DMF; slightly sol in methanol, 95% ethanol.
Melting point: mp 272-273° (dec)
Optical Rotation: [a]D +30° (c = 0.35)
Therap-Cat: Antiallergic; antiasthmatic; anti-inflammatory.
Keywords: Antiallergic (Steroidal, Nasal); Glucocorticoid; Antiasthmatic (Steroidal, Inhalant).

Other Monographs:
ThiocarbarsoneFerumoxsilNutgallPonceau SX
CrotonaldehydePotassium Tetracyanoplatinate(II)Sulfobromophthalein SodiumSodium Cyanate
S-AdenosylmethioninePotassium Phosphate, TribasicTriamcinolone BenetonideDihydrocodeinone Enol Acetate
Nauheim Salts (Artificial)SimetrynErgotoxineAldrin
©2006-2023 DrugFuture->Chemical Index Database