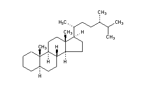
Ergostane
Structural Formula Vector Image
Title: Ergostane
CAS Registry Number: 511-20-6
CAS Name: 5a-Ergostane
Molecular Formula: C28H50
Molecular Weight: 386.70
Percent Composition: C 86.97%, H 13.03%
Literature References: Prepn from allocholanic acid: Fernholz, Ber. 69, 1792 (1938).
Properties: Scales, plates from ether + methanol, mp 85°. [a]D20 +17° (c = 2 in chloroform).
Melting point: mp 85°
Optical Rotation: [a]D20 +17° (c = 2 in chloroform)

Other Monographs:
N-(Hydroxymethyl)nicotinamideNiobium Potassium OxypentafluorideNimbiolTungsten Trioxide
CyclarbamateMethanearsonic AcidDiphemethoxidinePeonidin
PeryleneIsopropylidene GlycerolPropanethial S-OxideN-(4-Hydroxyphenyl)glycine
BiphenamineNorcaraneOxytetracyclineSodium Acetate
©2006-2023 DrugFuture->Chemical Index Database