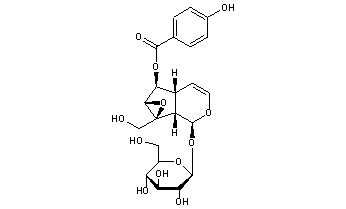
Catalposide
Structural Formula Vector Image
Title: Catalposide
CAS Registry Number: 6736-85-2
CAS Name: [1aS-(1aa,1bb,2b,5ab,6b,6aa)]-1a,1b,2,5a,6,6a-Hexahydro-6-[(4-hydroxybenzoyl)oxy]-1a-(hydroxymethyl)oxireno[4,5]cyclopenta[1,2-c]pyran-2-yl-b-D-glucopyranoside
Additional Names: Catalpin
Molecular Formula: C22H26O12
Molecular Weight: 482.43
Percent Composition: C 54.77%, H 5.43%, O 39.80%
Literature References: From unripe fruit of Catalpa bignonioides Walt. or C. ovata G. Don, Bignoniaceae: Claassen, Am. Chem. J. 10, 228 (1888). Historical summary: Bobbitt et al., J. Org. Chem. 26, 3090 (1961). Structure: Lunn et al., Can. J. Chem. 40, 104 (1962). Stereochemistry: Bobbitt et al., J. Org. Chem. 31, 500 (1966); 32, 1459 (1967).
Properties: Crystals from methanol + ethyl acetate, mp 215-216.5°. [a]D23.2 -184° (c = 0.87 in methanol). uv max (ethanol): 260 nm (log e 4.27); in sodium hydroxide: 303 nm (log e 4.35). Soluble in water, alcohol; slightly sol in benzene, chloroform, ether.
Melting point: mp 215-216.5°
Optical Rotation: [a]D23.2 -184° (c = 0.87 in methanol)
Absorption maximum: uv max (ethanol): 260 nm (log e 4.27); in sodium hydroxide: 303 nm (log e 4.35)
 
Derivative Type: Hexaacetate
Molecular Formula: C34H38O18
Molecular Weight: 734.65
Percent Composition: C 55.59%, H 5.21%, O 39.20%
Properties: Crystals from ethanol, mp 141.5°. [a]D21.7 -106° (c = 0.75 in chloroform).
Melting point: mp 141.5°
Optical Rotation: [a]D21.7 -106° (c = 0.75 in chloroform)

Other Monographs:
Potassium Hexafluorozirconate(IV)Terreic AcidPentigetideCeftiofur
Mandelic AcidCannabisIsoamyl AcetateBis(2-mercaptoethyl)sulfone
(p-Nonylphenoxy)acetic AcidZingeronePhenethicillin PotassiumBenzotrichloride
AmanitinMagnesium BenzoateCalcium PermanganateAsoxime Chloride
©2006-2023 DrugFuture->Chemical Index Database