Enniatins
Structural Formula Vector Image
Title: Enniatins
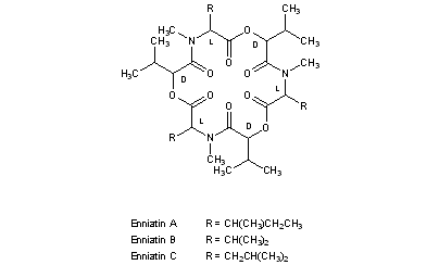
Literature References: Ionophore antibiotics produced by the fungus Fusarium orthoceras var. enniatum and other Fusaria: Gaumann et al., Experientia 3, 202 (1947); Plattner, Nager, ibid. 325; Plattner et al., Helv. Chim. Acta 31, 594 (1948). They are cyclic depsihexapeptides related structurally to valinomycin, q.v. Enniatins A, B, and C are known; A and B are obtained from natural sources and C is a synthetic homolog. Structure and synthesis of enniatin A: Quitt et al., ibid. 46, 1715 (1963); 47, 166 (1964); of enniatin B: Plattner et al., ibid. 46, 927 (1963); Shemyakin et al., Tetrahedron Lett. 1963, 885. Conformation of enniatin B: Ovchinnikov et al., Biochem. Biophys. Res. Commun. 37, 668 (1969). Synthesis of C: eidem, Izv. Akad. Nauk SSSR Ser. Khim. 1964, 1912, C.A. 62, 28246b (1965). Enniatins are able to form "sandwich" complexes with cations, a factor used to explain their ability to induce permeability in biological membranes to the complexed ion, cf. V. T. Ivanov, Ann. N.Y. Acad. Sci. 264, 221 (1975). Review: Y. A. Ovchinnikov, V. T. Ivanov, "The Cyclic Peptides: Structure, Conformation, and Function" in The Proteins vol. V, H. Neurath, R. L. Hill, Eds. (Academic Press, New York, 3rd ed., 1982) pp 365-373, 516-529.
 
Derivative Type: Enniatin A
Molecular Formula: C36H63N3O9
Molecular Weight: 681.90
Percent Composition: C 63.41%, H 9.31%, N 6.16%, O 21.12%
Properties: Long needles from ethanol + water, mp 122-122.5°. Very slowly sublimes at 10-4 mm and 127-128° (oil bath temp). [a]D18 -91.9° (c = 0.926 in chloroform). Sol in ether, benzene, ethyl acetate; sparingly sol in water. Solns are stable to heat, inactivated by alkali.
Melting point: mp 122-122.5°
Optical Rotation: [a]D18 -91.9° (c = 0.926 in chloroform)
 
Derivative Type: Enniatin B
Molecular Formula: C33H57N3O9
Molecular Weight: 639.82
Percent Composition: C 61.95%, H 8.98%, N 6.57%, O 22.51%
Properties: Crystals from petr ether, mp 175-175.5°. [a]D20 -107.9° (c = 0.63 in chloroform). Very sol in organic solvents; slightly sol in petr ether. Practically insol in water.
Melting point: mp 175-175.5°
Optical Rotation: [a]D20 -107.9° (c = 0.63 in chloroform)
 
Derivative Type: Enniatin C
Molecular Formula: C36H63N3O9
Molecular Weight: 681.90
Percent Composition: C 63.41%, H 9.31%, N 6.16%, O 21.12%
Properties: Crystals, mp 160-161°. [a]D23 -24°.
Melting point: mp 160-161°
Optical Rotation: [a]D23 -24°

Other Monographs:
Methyl LactateAbscisic Acidp-AminophenolPlatelet-Derived Growth Factor
Calcium CyclamateJacobsen's CatalystFilipinBismuth Sodium Triglycollamate
ColocynthRitanserinBactericidal Permeability-Increasing ProteinIsofezolac
Aluminum Nicotinatep,α-Dimethylbenzyl AlcoholCottonseed OilCyphenothrin
©2006-2023 DrugFuture->Chemical Index Database