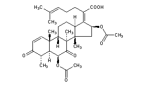
Helvolic Acid
Structural Formula Vector Image
Title: Helvolic Acid
CAS Registry Number: 29400-42-8
CAS Name: (4a,6b,8a,9b,13a,14b,16b,17Z)-6,16-Bis(acetyloxy)-3,7-dioxo-29-nordammara-1,17(20),24-trien-21-oic acid
Additional Names: (Z)-6b,16b-dihydroxy-3,7-dioxo-29-nor-8a,9b,13a,14b-dammara-1,17(20),24-trien-21-oic acid diacetate; fumigacin
Molecular Formula: C33H44O8
Molecular Weight: 568.70
Percent Composition: C 69.69%, H 7.80%, O 22.51%
Literature References: Antibiotic substance of the fusidane class. Produced by Aspergillus fumigatus: Waksman et al., J. Bacteriol. 45, 233 (1943); by A. fumigatus mut. helvola: Chain et al., Br. J. Exp. Pathol. 24, 108 (1943). Structural studies: Okuda et al., Chem. Pharm. Bull. 12, 121 (1964); Oxley, Chem. Commun. 1966, 729; Okuda et al., Tetrahedron Lett. 1967, 2295. Revised structure and stereochemistry: Iwaki et al., Chem. Commun. 1970, 1119. Chemical and biological data: Reshetova, Antibiotiki 14, 554 (1969). Review of literature until 1960: Wilson, "Miscellaneous Aspergillus Toxins" in Microbial Toxins vol. VI, A. Ciegler et al., Eds. (Academic Press, New York, 1971) p 265.
Properties: Needles from methanol, mp 215°. [a]D25 -121° (chloroform). uv max (ethanol): 231 nm (log e 4.24). Very slightly sol in water; slightly sol in petr ether, methanol, ethanol. More sol in hot methanol, ethanol; sol in chloroform, acetone, ethyl acetate, benzene, pyridine, glacial acetic acid, dioxane, ether.
Melting point: mp 215°
Optical Rotation: [a]D25 -121° (chloroform)
Absorption maximum: uv max (ethanol): 231 nm (log e 4.24)
 
Derivative Type: Methyl ester
Additional Names: Methyl helvolate
Molecular Formula: C34H46O8
Molecular Weight: 582.72
Percent Composition: C 70.08%, H 7.96%, O 21.97%
Properties: Crystals from methanol, mp 257°. [a]D25 -140° (chloroform).
Melting point: mp 257°
Optical Rotation: [a]D25 -140° (chloroform)

Other Monographs:
Tolclofos-methylHydrogen PeroxideCycasinPiroxicam
Chromic CarbonateMecysteine Hydrochloride5-Nitro-2-propoxyanilineEthylidene Diacetate
PolyferoseEGF-UrogastroneBenzopinacolCyclohexanecarboxylic Acid
MethopterinBioresmethrinUracil MustardTetraethyl Pyrophosphate
©2006-2023 DrugFuture->Chemical Index Database