- British Pharmacopoeia Volume I & II
- Monographs: Medicinal and Pharmaceutical Substances
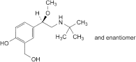
Salbutamol Sulfate |
![]() |
Salbutamol Sulphate
(Ph Eur monograph 0687)

(C13H21NO3)2H2SO4 576.7 51022-70-9
Beta2-adrenoceptor agonist; bronchodilator.
Salbutamol Powder for Inhalation
Salbutamol Pressurised Inhalation
Prolonged-release Salbutamol Capsules
Prolonged-release Salbutamol Tablets
Ph Eur
Bis[(1RS)-2-[(1,1-dimethylethyl)amino]-1-[4-hydroxy-3-(hydroxymethyl)phenyl]ethanol] sulfate.
98.0 per cent to 101.0 per cent (dried substance).
White or almost white, crystalline powder.
Freely soluble in water, practically insoluble or very slightly soluble in ethanol (96 per cent) and in methylene chloride.
It shows polymorphism (5.9).
First identification B, E.
Second identification A, C, D, E.
A. Ultraviolet and visible absorption spectrophotometry (2.2.25).
Test solution Dissolve 80.0 mg in a 10 g/L solution of hydrochloric acid R and dilute to 100.0 mL with the same acid. Dilute 10.0 mL of the solution to 100.0 mL with a 10 g/L solution of hydrochloric acid R.
Spectral range 230-350 nm.
Absorption maximum At 276 nm.
Specific absorbance at the absorption maximum 55 to 64.
B. Infrared absorption spectrophotometry (2.2.24).
Comparison salbutamol sulfate CRS.
If the spectra obtained show differences, dissolve the substance to be examined and the reference substance separately in anhydrous ethanol R. Dry the residues and record new spectra using the residues.
C. Thin-layer chromatography (2.2.27).
Test solution Dissolve 12 mg of the substance to be examined in water R and dilute to 10 mL with the same solvent.
Reference solution Dissolve 12 mg of salbutamol sulfate CRS in water R and dilute to 10 mL with the same solvent.
Plate TLC silica gel plate R.
Mobile phase concentrated ammonia R, water R, ethyl acetate R, 2-propanol R, methyl isobutyl ketone R (3:18:35:45:50 V/V/V/V/V).
Application 1 µL.
Development Over 2/3 of the plate.
Drying In air.
Detection Spray with a 1 g/L solution of methylbenzothiazolone hydrazone hydrochloride R in a 90 per cent V/V solution of methanol R, followed by a 20 g/L solution of potassium ferricyanide R in a mixture of 1 volume of concentrated ammonia R1 and 3 volumes of water R, followed by a further spraying with a 1 g/L solution of methylbenzothiazolone hydrazone hydrochloride R in a 90 per cent V/V solution of methanol R.
Results The principal spot in the chromatogram obtained with the test solution is similar in position, colour and size to the principal spot in the chromatogram obtained with the reference solution.
D. Dissolve about 10 mg in 50 mL of a 20 g/L solution of disodium tetraborate R. Add 1 mL of a 30 g/L solution of aminopyrazolone R, 10 mL of methylene chloride R and 10 mL of a 20 g/L solution of potassium ferricyanide R. Shake and allow to separate. An orange-red colour develops in the methylene chloride layer.
E. It gives reaction (a) of sulfates (2.3.1).
Dissolve 0.250 g in carbon dioxide-free water R and dilute to 25.0 mL with the same solvent.
Solution S is clear (2.2.1) and not more intensely coloured than reference solution BY6 (2.2.2, Method II).
- 0.10° to + 0.10°, determined on solution S.
To 10 mL of solution S add 0.15 mL of methyl red solution R and 0.2 mL of 0.01 M sodium hydroxide. The solution is yellow. Not more than 0.4 mL of 0.01 M hydrochloric acid is required to change the colour of the indicator to red.
Liquid chromatography (2.2.29).
Test solution Dissolve 20.0 mg of the substance to be examined in mobile phase A and dilute to 50.0 mL with mobile phase A.
Reference solution (a) Dissolve 3.0 mg of salbutamol impurity D CRS and 3.0 mg of salbutamol impurity F CRS in mobile phase A and dilute to 50.0 mL with mobile phase A. Dilute 2.0 mL of the solution to 100.0 mL with mobile phase A.
Reference solution (b) Dilute 1.0 mL of the test solution to 100.0 mL with mobile phase A. Dilute 1.0 mL of this solution to 10.0 mL with mobile phase A.
Reference solution (c) With the aid of ultrasound, dissolve the contents of a vial of salbutamol impurity J CRS in 1.0 mL of the test solution.
Reference solution (d) Dissolve 1 mg of salbutamol impurity D CRS in mobile phase A and dilute to 100.0 mL with mobile phase A.
Reference solution (e) Dissolve 4 mg of salbutamol sulfate for system suitability CRS (containing impurities C, F, N and O) in mobile phase A, add 0.4 mL of reference solution (d) and dilute to 10.0 mL with mobile phase A.
- — size: l = 0.15 m, Ø = 4.6 mm;
- — stationary phase: spherical end-capped octylsilyl silica gel for chromatography R (3 μm);
- — temperature: 30 °C.
- — mobile phase A: dissolve 3.45 g of sodium dihydrogen phosphate monohydrate R in 900 mL of a 0.05 per cent V/V solution of triethylamine R, adjust to pH 3.0 with dilute phosphoric acid R and dilute to 1000 mL with a 0.05 per cent V/V solution of triethylamine R;
- — mobile phase B: methanol R, acetonitrile R (35:65 V/V);

Flow rate 1.0 mL/min.
Detection Spectrophotometer at 273 nm.
Injection 20 μl of the test solution and reference solutions (a), (b), (c) and (e).
Relative retention With reference to salbutamol (retention time = about 7 min): impurity J = about 0.9; impurity C = about 1.6; impurity N = about 1.67; impurity D = about 1.68; impurity F = about 1.77; impurity O = about 1.82.
Identification of impurities Use the chromatogram supplied with salbutamol sulfate for system suitability CRS and the chromatogram obtained with reference solution (e) to identify the peaks due to impurities C, D, F, N and O; use the chromatogram obtained with reference solution (c) to identify the peak due to impurity J.
- — peak-to-valley ratio: minimum 1.2, where Hp = height above the baseline of the peak due to impurity N and Hv = height above the baseline of the lowest point of the curve separating this peak from the peak due to impurity D in the chromatogram obtained with reference solution (e); minimum 2.0, where Hp = height above the baseline of the peak due to impurity J and Hv = height above the baseline of the lowest point of the curve separating this peak from the peak due to salbutamol in the chromatogram obtained with reference solution (c).
- — impurities D, F: for each impurity, not more than the area of the corresponding peak in the chromatogram obtained with reference solution (a) (0.3 per cent);
- — impurities C, N, O: for each impurity, not more than twice the area of the principal peak in the chromatogram obtained with reference solution (b) (0.2 per cent);
- — unspecified impurities: for each impurity, not more than the area of the principal peak in the chromatogram obtained with reference solution (b) (0.10 per cent);
- — total: maximum 0.9 per cent;
- — disregard limit: 0.5 times the area of the principal peak in the chromatogram obtained with reference solution (b) (0.05 per cent).
Maximum 50 ppm.
Test solution To 50 mg of the substance to be examined add 5 mL of a solution containing 13 g/L of anhydrous sodium carbonate R and 17 g/L of potassium carbonate R. Evaporate to dryness on a water-bath and dry at 120 °C. Ignite the residue rapidly until the organic matter has been destroyed, allow to cool and add 0.5 mL of water R and 3.0 mL of a freshly prepared 1.25 g/L solution of curcumin R in glacial acetic acid R. Warm gently to effect solution, allow to cool and add 3.0 mL of a mixture prepared by adding 5 mL of sulfuric acid R, slowly and with stirring, to 5 mL of glacial acetic acid R. Mix and allow to stand for 30 min. Dilute to 100.0 mL with ethanol (96 per cent) R, filter and use the filtrate.
Reference solution Dissolve 0.572 g of boric acid R in 1000.0 mL of water R. Dilute 1.0 mL of the solution to 100.0 mL with water R. To 2.5 mL of this solution add 5 mL of a solution containing 13 g/L of anhydrous sodium carbonate R and 17 g/L of potassium carbonate R, and treat this mixture in the same manner as the test solution.
Measure the absorbance (2.2.25) of the test solution and of the reference solution at the absorption maximum at about 555 nm. The absorbance of the test solution is not greater than that of the reference solution.
Maximum 0.5 per cent, determined on 1.000 g by drying in an oven at 105 °C.
Maximum 0.1 per cent, determined on 1.0 g.
Dissolve 0.400 g in 5 mL of anhydrous formic acid R and add 35 mL of anhydrous acetic acid R. Titrate with 0.1 M perchloric acid, determining the end-point potentiometrically (2.2.20).
1 mL of 0.1 M perchloric acid is equivalent to 57.67 mg of C26H44N2O10S.
Protected from light.
Specified impurities C, D, F, N, O.
Other detectable impurities (the following substances would, if present at a sufficient level, be detected by one or other of the tests in the monograph. They are limited by the general acceptance criterion for other/unspecified impurities and/or by the general monograph Substances for pharmaceutical use (2034). It is therefore not necessary to identify these impurities for demonstration of compliance. See also 5.10. Control of impurities in substances for pharmaceutical use): A, B, E, G, I, J, K, L, M.

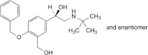
A. [5-[(1RS)-2-[(1,1-dimethylethyl)amino]-1-methoxyethyl]-2-hydroxyphenyl]methanol,

B. (1RS)-2-[(1,1-dimethylethyl)amino]-1-(4-hydroxyphenyl)ethanol,

C. (1RS)-2-[(1,1-dimethylethyl)amino]-1-(4-hydroxy-3-methylphenyl)ethanol,

D. 5-[(1RS)-2-[(1,1-dimethylethyl)amino]-1-hydroxyethyl]-2-hydroxybenzaldehyde,

E. (1RS)-2-[benzyl(1,1-dimethylethyl)amino]-1-[4-hydroxy-3-(hydroxymethyl)phenyl]ethanol,

F. 1,1′-[oxybis[methylene(4-hydroxy-1,3-phenylene)]]bis[2-[(1,1-dimethylethyl)amino]ethanol],

G. 2-[benzyl(1,1-dimethylethyl)amino]-1-[4-hydroxy-3-(hydroxymethyl)phenyl]ethanone,

I. (1RS)-2-[(1,1-dimethylethyl)amino]-1-[4-(benzyloxy)-3-(hydroxymethyl)phenyl]ethanol,

J. 2-[(1,1-dimethylethyl)amino]-1-[4-hydroxy-3-(hydroxymethyl)phenyl]ethanone (salbutamone),

K. 2-[(1,1-dimethylethyl)amino]-1-[3-chloro-4-hydroxy-5-(hydroxymethyl)phenyl]ethanone,

L. (1RS)-2-[(1,1-dimethylethyl)amino]-1-[3-chloro-4-hydroxy-5-(hydroxymethyl)phenyl]ethanol,

M. (1RS)-2-[(1,1-dimethylethyl)amino]-1-[4-hydroxy-3-(methoxymethyl)phenyl]ethanol,

N. 2-[(1,1-dimethylethyl)amino]-1-[3-[[5-[2-[(1,1-dimethylethyl)amino]-1-hydroxyethyl]-2-hydroxyphenyl]methyl]-4-hydroxy-5-(hydroxymethyl)phenyl]ethanol,
O. unknown structure.
Ph Eur
