Tobramycin
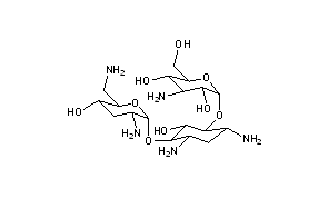
Structural Formula Vector Image
Title: Tobramycin
CAS Registry Number: 32986-56-4
CAS Name: O-3-Amino-3-deoxy-a-D-glucopyranosyl-(1®6)-O-[2,6-diamino-2,3,6-trideoxy-a-D-ribo-hexopyranosyl-(1®4)]-2-deoxy-D-streptamine
Additional Names: 4-[2,6-diamino-2,3,6-trideoxy-a-D-glycopyranosyl]-6-[3-amino-3-deoxy-a-D-glycopyranosyl]-2-deoxystreptamine; nebramycin factor 6; NF 6
Trademarks: Tobracin (Shionogi); Tobralex (Alcon); Tobramaxin (Alcon); Tobrex (Alcon)
Molecular Formula: C18H37N5O9
Molecular Weight: 467.51
Percent Composition: C 46.24%, H 7.98%, N 14.98%, O 30.80%
Literature References: Aminoglycoside antibiotic; component of the nebramycin complex produced by Streptomyces tenebrarius. See also apramycin. Series of articles on isolation, separation and evaluation of the nebramycin complex: Antimicrob. Agents Chemother. 1967, 314-348. Elucidation of structure: K. F. Koch, J. A. Rhoades, Antimicrob. Agents Chemother. 1970, 309. Synthesis: Y. Takagi et al., Bull. Chem. Soc. Jpn. 49, 3649 (1976); M. Tanabe et al., Tetrahedron Lett. 1977, 3607. Toxicology: J. S. Welles et al., Toxicol. Appl. Pharmacol. 22, 332 (1972). Comprehensive description: A. K. Dash, Anal. Profiles Drug Subs. Excip. 24, 579-613 (1996). Clinical trial in cystic fibrosis patients: B. W. Ramsey et al., N. Engl. J. Med. 340, 23 (1999). Review of clinical experience: H. Lode, Curr. Ther. Res. 59, 420-453 (1998).
Properties: Basic substance. Freely sol in water (1 in 1.5 parts). Very slightly sol in ethanol (1 in 2000 parts). Practically insol in chloroform, ether. [a]D20 +129° (c = 1 in water). LD50 in mice, rats (mg/kg): 441, 969 s.c. (Welles).
Optical Rotation: [a]D20 +129° (c = 1 in water)
Toxicity data: LD50 in mice, rats (mg/kg): 441, 969 s.c. (Welles)
 
Derivative Type: Sulfate
CAS Registry Number: 79645-27-5
Trademarks: Gernebcin (Lilly); Nebcin (Lilly); Nebicina (Lilly); Obracin (Lilly); Tobra (Lilly); Tobradistin (Dista)
 
Therap-Cat: Antibacterial.
Keywords: Antibacterial (Antibiotics); Aminoglycosides.

Other Monographs:
Bismuth OxideMethyl Carbitol®Cupric HydroxideParaflutizide
Heteronium BromideOmega-3 Acid Ethyl EstersEthyl IodideArsacetin
Trimethyl Isopropyl ButanamideBimatoprostLoprazolamPotassium Chromate(VI)
Codeine Methyl BromideEMPAGestonorone CaproateBenzoic Anhydride
©2006-2023 DrugFuture->Chemical Index Database