Thevetin A
Structural Formula Vector Image
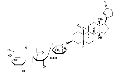
Title: Thevetin A
CAS Registry Number: 37933-66-7
CAS Name: (3b,5b)-3-[(O-b-D-Glucopyranosyl-(1®6)-O-D-glucopyranosyl-(1®4)-6-deoxy-3-O-methyl-a-L-glucopyranosyl)oxy]-14-hydroxy-19-oxocard-20(22)-enolide
Molecular Formula: C42H64O19
Molecular Weight: 872.95
Percent Composition: C 57.79%, H 7.39%, O 34.82%
Literature References: Glycoside isolated from Thevetia neriifolia Juss., Apocynaceae: Bloch et al., Helv. Chim. Acta 43, 652 (1960). Separation from thevetin B: Delalande, Baisse, US 3030355; US 3043829 (1962). Structure: K. Tori et al., Tetrahedron Lett. 1977, 717.
Properties: Crystals from water. mp 208-210°. [a]D24 -72.0 ±1.5° (c = 1.48 in methanol).
Melting point: mp 208-210°
Optical Rotation: [a]D24 -72.0 ±1.5° (c = 1.48 in methanol)
 
Derivative Type: Acetyl deriv
Molecular Formula: C58H80O27
Molecular Weight: 1209.24
Percent Composition: C 57.61%, H 6.67%, O 35.72%
Properties: Crystals from methanol + ether, mp 143-149°. [a]D26 -54.2 ±1° (c = 1.86 in chloroform).
Melting point: mp 143-149°
Optical Rotation: [a]D26 -54.2 ±1° (c = 1.86 in chloroform)

Other Monographs:
TroxacitabineN,N'-CarbonyldiimidazolePotassium PercarbonateImidazole
Beryllium Sodium FluorideChlorophenolsOctyl MethoxycinnamateIdoxuridine
Magnesium SelenateLithium NitrateAcacetinTrigonellamide Chloride
QuercitrinCupric BorateDivicineEthyl Acrylate
©2006-2023 DrugFuture->Chemical Index Database