Tetrin
Structural Formula Vector Image
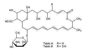
Title: Tetrin
Literature References: Polyene antifungal antibiotic produced by Streptomyces Illinois #155-2: Pote, Diss. Abstr. 19, 2778 (1959); Gottlieb, Pote, Phytopathology 50, 817 (1960). Isoln of the two tetraenes, tetrin A and B: Rinehart et al., Ann. 668, 77 (1963); German, Diss. Abstr. 25, 97 (1964). Structure of tetrin A: Pandey et al., J. Am. Chem. Soc. 93, 3738 (1971); of tetrin B: Rinehart et al., ibid. 3747. Revised structure: R. C. Pandey, K. L. Rinehart, J. Antibiot. 29, 1035 (1976). Mode of action of tetrin A: van Etten, Gottlieb, J. Gen. Microbiol. 46, 377 (1967).
 
Derivative Type: Tetrin A
Molecular Formula: C34H51NO13
Molecular Weight: 681.77
Percent Composition: C 59.90%, H 7.54%, N 2.05%, O 30.51%
Properties: Fine, colorless needles from methanol or aqueous n-butanol, mp >350° (dec). [a]D21 +8.3° (c = 0.72 in pyridine). [a]D28 +27.5° (c = 1.0 in pyridine). uv max: 214, 278, 290, 303, 318 nm (E1cm0.1% 19.4, 44.2, 81.2, 115.0, 110.9). Monobasic, pKa¢ 8.30 in 60% ethanol. Sol in pyridine, dil alkalies, dil mineral acids; moderately sol in lower alcohols; practically insol in acetone, ether, water.
Melting point: mp >350° (dec)
pKa: pKa¢ 8.30 in 60% ethanol
Optical Rotation: [a]D21 +8.3° (c = 0.72 in pyridine); [a]D28 +27.5° (c = 1.0 in pyridine)
Absorption maximum: uv max: 214, 278, 290, 303, 318 nm (E1cm0.1% 19.4, 44.2, 81.2, 115.0, 110.9)
 
Derivative Type: Tetrin B
Molecular Formula: C34H51NO14
Molecular Weight: 697.77
Percent Composition: C 58.52%, H 7.37%, N 2.01%, O 32.10%
Properties: Brown, amorphous powder, mp >360° (darkens at 160-165°, blackens at 250-295°). [a]D24 +43.5° (c = 0.14 in methanol); [a]D28 +45° (c = 0.3 in pyridine). uv max: 214, 278, 290, 303, 318 nm (E1cm0.1% 18.6, 51.4, 80.1, 112.8, 108.9). Readily sol in ethanol + water, dioxane + water; fairly sol in water, lower alcohols, dioxane, pyridine, dimethyl sulfoxide; slightly sol in acetone. Practically insol in ethyl acetate, chloroform, ether, ethylene dichloride.
Melting point: mp >360° (darkens at 160-165°, blackens at 250-295°)
Optical Rotation: [a]D24 +43.5° (c = 0.14 in methanol); [a]D28 +45° (c = 0.3 in pyridine)
Absorption maximum: uv max: 214, 278, 290, 303, 318 nm (E1cm0.1% 18.6, 51.4, 80.1, 112.8, 108.9)

Other Monographs:
ClofentezineCadmium Tungstate(VI)OxaflumazineCamphotamide
StreptolydiginOil of Dill2-MercaptoethanolBiotin
Ruthenium TetroxideProtheobromineDiflufenicanCoumarin-3-carboxylic Acid
NicarbazinBismuth OxideIodoquinolCalcium Thioglycollate
©2006-2023 DrugFuture->Chemical Index Database