Amiprilose
Structural Formula Vector Image
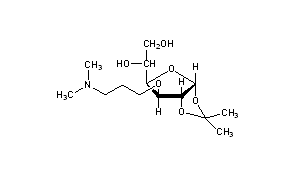
Title: Amiprilose
CAS Registry Number: 56824-20-5
CAS Name: 3-O-[3-(Dimethylamino)propyl]-1,2-O-(1-methylethylidene)-a-D-glucofuranose
Additional Names: 1,2-O-isopropylidene-3-O-[3¢-(N,N-dimethylamino)propyl]-a-D-glucofuranose
Molecular Formula: C14H27NO6
Molecular Weight: 305.37
Percent Composition: C 55.06%, H 8.91%, N 4.59%, O 31.44%
Literature References: Synthetic, substituted monosaccharide with immunomodulatory activity. Prepn: BE 823313; P. Gordon, US 3939146 (1975, 1976 both to Strategic Med. Res.); E. R. Garrett et al., J. Pharm. Sci. 71, 387 (1982). Absolute configuration: R. J. Linhardt et al., ibid. 79, 158 (1990). HPLC determn in plasma: S. T. Wu et al., J. Chromatogr. B 692, 149 (1997). Clinical pharmacokinetics: E. R. Garrett et al., J. Pharmacokinet. Biopharm. 10, 247 (1982). Clinical trial in rheumatoid arthritis: W. G. Riskin et al., Ann. Intern. Med. 111, 455 (1989). Review of immunoregulatory effects: D. M. Chang, Immunopharmacol. Immunotoxicol. 17, 437-450 (1995).
Properties: Colorless, viscous oil. n25 1.4687.
Index of refraction: n25 1.4687
 
Derivative Type: Hydrochloride
CAS Registry Number: 60414-06-4
Manufacturers' Codes: SM-1213
Trademarks: Therafectin (BLS)
Molecular Formula: C14H27NO6.HCl
Molecular Weight: 341.83
Percent Composition: C 49.19%, H 8.26%, N 4.10%, O 28.08%, Cl 10.37%
Properties: Crystals from methanol, mp 181-183°. Sol in water, methanol, hot ethanol.
Melting point: mp 181-183°
 
Therap-Cat: Immunomodulator; anti-inflammatory.
Keywords: Immunomodulator.

Other Monographs:
Oil of Camphor, RectifiedNiobium Potassium OxypentafluorideTitanium Dichloride2,7-Naphthalenedisulfonic Acid
Nudic AcidsTriacetone TriperoxideSiliconesTrimethylsilyl Triflate
α-Galactosidase AAmbergrisNitracrineViehe's Salt
Prolactin2,3-Dimercapto-1-propanesulfonic AcidTetraglycine HydroperiodideAvobenzone
©2006-2023 DrugFuture->Chemical Index Database