Netilmicin
Structural Formula Vector Image
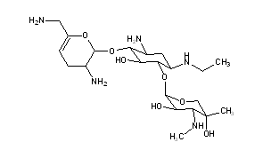
Title: Netilmicin
CAS Registry Number: 56391-56-1
CAS Name: O-3-Deoxy-4-C-methyl-3-(methylamino)-b-L-arabinopyranosyl-(1®6)-O-[2,6-diamino-2,3,4,6-tetradeoxy-a-D-glycero-hex-4-enopyranosyl-(1®4)]-2-deoxy-N1-ethyl-D-streptamine
Additional Names: (2S-cis)-4-O-[3-amino-6-(aminomethyl)-3,4-dihydro-2H-pyran-2-yl]-2-deoxy-6-O-[3-deoxy-4-C-methyl-3-(methylamino)-b-L-arabinopyranosyl]-N1-ethyl-D-streptamine; 1-N-ethylsisomicin
Manufacturers' Codes: Sch-20569
Molecular Formula: C21H41N5O7
Molecular Weight: 475.58
Percent Composition: C 53.04%, H 8.69%, N 14.73%, O 23.55%
Literature References: Broad spectrum semi-synthetic aminoglycoside antibiotic, related to sisomicin, q.v. Prepn: M. J. Weinstein et al., DE 2437160 (1975 to Sherico); J. J. Wright, US 4029882 (1977 to Schering); J. J. Wright et al., US 4002742 (1977 to Schering). Structure and synthesis: J. J. Wright, Chem. Commun. 1976, 206. Biological activity: G. H. Miller et al., Antimicrob. Agents Chemother. 10, 827 (1976). Radioimmunoassay: A. Broughton et al., Clin. Chem. 24, 717 (1978). Pharmacology: W. Raab, Adv. Clin. Pharmacol. 15, 91 (1978); I. Trestman et al., Antimicrob. Agents Chemother. 13, 832 (1978). Metabolism and pharmacokinetics: J. C. Pechere et al., Clin. Pharmacol. Ther. 23, 677 (1978); R. E. Brummett et al., Arch. Otolaryngol. 104, 579 (1978). Clinical studies: J. Klastersky et al., Antimicrob. Agents Chemother. 12, 503 (1977); A. P. Panwalker et al., ibid. 13, 170 (1978). Toxicity studies: L. Albiero et al., Arch. Int. Pharmacodyn. Ther. 233, 343 (1978); F. C. Lust, J. Int. Med. Res. 6, 286 (1978). Review: P. Noone, Drugs 27, 548-578 (1984).
Properties: [a]D26 +164° (c = 3 in water). LD50 in mice (mg/kg): 40 i.v.; 125 i.p.; 175 s.c. (Miller).
Optical Rotation: [a]D26 +164° (c = 3 in water)
Toxicity data: LD50 in mice (mg/kg): 40 i.v.; 125 i.p.; 175 s.c. (Miller)
 
Derivative Type: Sulfate
CAS Registry Number: 56391-57-2
Trademarks: Certomycin (Essex); Netillin (Schering); Netilyn (Schering); Netromicine (Schering); Netromycin (Schering); Nettacin (Schering); Vectacin (Schering); Zetamicin (Menarini)
Molecular Formula: (C21H41N5O7)2.5H2SO4
Molecular Weight: 1441.55
Percent Composition: C 34.99%, H 6.43%, N 9.72%, O 37.74%, S 11.12%
 
Therap-Cat: Antibacterial.
Keywords: Antibacterial (Antibiotics); Aminoglycosides.

Other Monographs:
GentrogeninNovobiocinBuparvaquoneRufigallol
Barium HexafluorosilicateMycophenolic AcidArborescinAcid α-Glucosidase
Manganese Hypophosphite1,4-Bis(trichloromethyl)benzeneTetrahydrothiophenen-Propyl Nitrite
AlminoprofenEllipticinePotassium TetraboratePotassium Zinc Sulfate
©2006-2023 DrugFuture->Chemical Index Database