Mizoribine
Structural Formula Vector Image
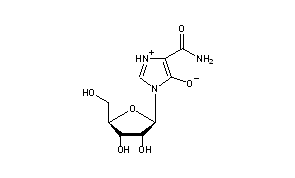
Title: Mizoribine
CAS Registry Number: 50924-49-7
CAS Name: 5-Hydroxy-1-b-D-ribofuranosyl-1H-imidazole-4-carboxamide
Additional Names: 4-carbamoyl-1-b-D-ribofuranosylimidazolium-5-olate
Manufacturers' Codes: HE-69
Trademarks: Bredinin (Toyo Jozo)
Molecular Formula: C9H13N3O6
Molecular Weight: 259.22
Percent Composition: C 41.70%, H 5.05%, N 16.21%, O 37.03%
Literature References: Nucleoside antibiotic produced by Eupenicillium brefedianum with cytotoxic and immunosuppressive activity. Isoln: K. Mizuno et al., BE 799805; eidem, US 3888843 (1973, 1975 to Toyo Jozo); eidem, J. Antibiot. 27, 775 (1974). Synthesis: M. Hayashi et al., Chem. Pharm. Bull. 23, 245 (1975); K. Fukukuwa et al., ibid. 32, 1644 (1984). Prepn of the aglycone: T. Atsumi et al., JP Kokai 76 88965 (1976 to Sumitomo), C.A. 86, 106582g (1977). HPLC determn in human serum: K. Takada et al., J. Chromatogr. 222, 156 (1981). Anti-arthritic activity: H. Iwata et al., Experientia 33, 502 (1977). Cytotoxic effect and comparison with aglycone: K. Sakaguchi et al., J. Antibiot. 28, 798 (1975). Antitumor spectrum of aglycone: N. Yoshida et al., Cancer Res. 43, 5851 (1983). Pharmacokinetics: K. Takada, Eur. J. Pharmacol. 24, 457 (1983). Clinical trials in renal transplantation: T. Inou et al., Transplant. Proc. 12, 526 (1980); eidem, ibid. 13, 315 (1981); A. Tajima et al., Transplantation 38, 116 (1984).
Properties: Crystals from methanol, mp >200° (dec). [a]D27 -35° (c = 0.8 in H2O). pKa 6.75. uv max (H2O): 245, 279 nm (E 250, 580). Sol in water. Slightly sol in methanol, ethanol. Insol in most organic solvents. LD50 in mice (g/kg): >1.5 i.v., >2.4 i.p. (Mizuno, 1975).
Melting point: mp >200° (dec)
pKa: pKa 6.75
Optical Rotation: [a]D27 -35° (c = 0.8 in H2O)
Absorption maximum: uv max (H2O): 245, 279 nm (E 250, 580)
Toxicity data: LD50 in mice (g/kg): >1.5 i.v., >2.4 i.p. (Mizuno, 1975)
 
Derivative Type: Aglycone
Additional Names: 5-Hydroxy-1H-imidazole-4-carboxamide; 4-carbamoyl-5-hydroxyimidazole; 4-carbamoylimidazolium-5-olate
Manufacturers' Codes: SM-108
Molecular Formula: C4H5N3O2
Molecular Weight: 127.10
Percent Composition: C 37.80%, H 3.97%, N 33.06%, O 25.18%
 
Therap-Cat: Immunosuppressant.
Keywords: Immunosuppressant.

Other Monographs:
PlasminDyclonineViridicatinPentolinium Tartrate
Collagenase3-MethylarsacetinIsobornyl ThiocyanoacetateLunacrine
Hydroxystilbamidine2,7-Naphthalenedisulfonic AcidSilver PicrateIsoamyl Nitrate
2-Amino-4-methylthiazoleLofepramineNitrous OxideTrigonellamide Chloride
©2006-2023 DrugFuture->Chemical Index Database