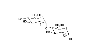
Maltose
Structural Formula Vector Image
Title: Maltose
CAS Registry Number: 69-79-4
CAS Name: 4-O-a-D-Glucopyranosyl-D-glucose
Additional Names: malt sugar; maltobiose; 4-(a-D-glucosido)-D-glucose
Trademarks: Maltos (Otsuka); Martos-10 (Otsuka)
Molecular Formula: C12H22O11
Molecular Weight: 342.30
Percent Composition: C 42.11%, H 6.48%, O 51.41%
Literature References: Monohydrate obtained in about 80% yield by enzymatic (diastase) degradation of starch: Gore, US 1657079 (1928). Structure: Haworth, Peat, J. Chem. Soc. 1926, 3094; Hassid, Ballou in W. Pigman, The Carbohydrates (Academic Press, New York, 1957) p 498. Crystal and molecular structure: F. Takusagawa, R. A. Jacobson, Acta Crystallogr. B34, 213 (1978). Review: E. Tarelli, Dev. Food Carbohydr. 2, 187-227 (1980); R. Khan, Carbohydr. Chem. Biochem. 39, 213-278 (1981).
 
Derivative Type: Monohydrate
Properties: Crystals from water or dil alc, mp 102-103°. Does not lose its water of crystn by drying at room temp in vacuo over H2SO4 or P2O5. About one-third as sweet as sucrose. Cf. Isbell, Pigman, J. Res. Natl. Bur. Stand. 18, 141 (1937). Shows mutarotation. [a]D20 +111.7° ® +130.4° (c = 4). pKa (21°): 12.05. Sol in water, slightly sol in alcohol. Practically insol in ether.
Melting point: mp 102-103°
pKa: pKa (21°): 12.05
Optical Rotation: [a]D20 +111.7° ® +130.4° (c = 4)
 
Use: Nutrient, sweetener, in culture media, in prepd bee food. Parenteral supplement of sugar for diabetics. Fermentable intermediate in brewing. Stabilizer for polysulfides. In pharmaceutical dispensing.

Other Monographs:
MethdilazineVolicitinGlutethimideSerum Albumin
Benzenesulfonic AcidPropylene ChlorohydrinCorn Steep LiquorPhosphorus Oxybromide
NitrendipineAngelica LactoneProparacaineHydroxypropyl Methylcellulose
Michler's KetoneHydroxyureaDimethoxaneAmmonium Hypophosphite
©2006-2023 DrugFuture->Chemical Index Database