alpha-Carotene
Structural Formula Vector Image
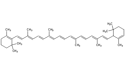
Title: a-Carotene
CAS Registry Number: 7488-99-5
Molecular Formula: C40H56
Molecular Weight: 536.87
Percent Composition: C 89.49%, H 10.51%
Literature References: About as widely distributed as its b-isomer, but in smaller amounts. Best sources for both the a- and b-isomers are carrots, palm oil, and green leaves of various species. As a provitamin A it is half as active as b-carotene. Found in the mother liquors after crystallizing b-carotene. Isoln by chromatography: Karrer, Walker, Helv. Chim. Acta 16, 641 (1933). Structure: Kuhn, Lederer, Ber. 64, 1349 (1931); Karrer et al., Helv. Chim. Acta 14, 614 (1931); 16, 975 (1933). Natural (+)-a-carotene has 6¢R configuration: Eugster et al., ibid. 52, 1729 (1969). Synthesis of dl-a-carotene: Eugster, Karrer, ibid. 38, 610 (1955); Tscharner et al., ibid. 40, 1676 (1957); Ruegg et al., ibid. 44, 985 (1961).
Properties: Deep purple prisms, polyhedra from petr ether or from benzene + methanol, mp 187.50° (evacuated tube). [a]18643 +385° (c = 0.08 in benzene). Absorption max (CHCl3): 485, 454 nm. More sol than b-carotene. Freely sol in carbon disulfide, chloroform; sol in ether, benzene. Slightly sol in petr ether, alcohol. 100 ml hexane dissolves 294 mg at 0°. Practically insol in water, acids, alkalies. Absorbs oxygen from the air, giving rise to inactive colorless oxidation products. The oxidation in light is autocatalytic. Store in darkness in sealed ampoules and at low temp (-20°C).
Melting point: mp 187.50° (evacuated tube)
Optical Rotation: [a]18643 +385° (c = 0.08 in benzene)
Absorption maximum: Absorption max (CHCl3): 485, 454 nm
Therap-Cat: Vitamin A precursor.
Therap-Cat-Vet: Vitamin A precursor for all species except cats.
Keywords: Vitamin/Vitamin Source; Vitamin A.

Other Monographs:
Sodium HydrosulfiteAntimony PentafluorideSodium 6-Chloro-5-nitrotoluene-3-sulfonatePyrimithate
MofezolacBunitrololPotassium ChlorateEbastine
5,5-Dimethyl-1,3-cyclohexanedionePhenolphthaleinPizotyline7-Morpholinomethyltheophylline
PifarnineRolitetracyclinePentigetideAngostura Bark
©2006-2023 DrugFuture->Chemical Index Database