Hygromycin
Structural Formula Vector Image
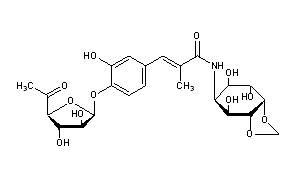
Title: Hygromycin
CAS Registry Number: 6379-56-2
CAS Name: (E)-5-Deoxy-5-[[3-[4-[(6-deoxy-b-D-arabino-hexofuranos-5-ulos-1-yl)oxy]-3-hydroxyphenyl]-2-methyl-1-oxo-2-propenyl]amino]-1,2-O-methylene-D-neo-inositol
Additional Names: homomycin; hygromycin A
Manufacturers' Codes: 1703-18B; ST-4331
Molecular Formula: C23H29NO12
Molecular Weight: 511.48
Percent Composition: C 54.01%, H 5.71%, N 2.74%, O 37.54%
Literature References: Antibiotic substance produced by Streptomyces hygroscopicus (Jensen) Waksman & Henrici, from forest soil near Indianapolis, Ind: R. L. Mann et al., Antibiot. Chemother. 3, 1279 (1953). Produced also by Streptomyces noboritoensis from soil collected in Kanawaga Prefecture. Identity of homomycin and hygromycin: K. Isono et al., J. Antibiot. 10A, 21 (1957). Structure: eidem, ibid. 160; R. L. Mann, D. O. Woolf, J. Am. Chem. Soc. 79, 120 (1957). Abs config: K. Kakinuma, Y. Sakagami, Agric. Biol. Chem. 42, 279 (1978). Synthesis of the sugar component: M. Nakajima, S. Takahashi, ibid. 31, 1082 (1967). Total synthesis: N. Chida et al., Chem. Commun. 1989, 436. Peptide synthesis inhibitor: M. Guerrero, J. Modolell, Eur. J. Biochem. 107, 409 (1980).
Properties: Amorphous white powder. mp 105-109°, dec above 160°. Also reported as mp 110-112° (dec) (Chida). Weakly acidic. pKa 8.9. [a]D25 -126° (c = 1 in water). Freely sol in water, alc. Practically insol in the less polar solvents. uv max (dil HCl): 272, 214 nm (E1%1cm 306, 416).
Melting point: mp 105-109°; mp 110-112° (dec) (Chida)
pKa: pKa 8.9
Optical Rotation: [a]D25 -126° (c = 1 in water)
Absorption maximum: uv max (dil HCl): 272, 214 nm (E1%1cm 306, 416)

Other Monographs:
FlumecinolDIDSEchothiophate IodideBuramate
AniseFremy's SaltSaffron1,6-Naphthalenedisulfonic Acid
HexaconazoleNeridronic AcidHexanitrohexaazaisowurtzitaneClopirac
NeostigmineZofenoprilPotassium TriiodozincateTribromo-tert-butyl Alcohol
©2006-2023 DrugFuture->Chemical Index Database