Dibekacin
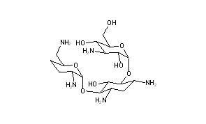
Structural Formula Vector Image
Title: Dibekacin
CAS Registry Number: 34493-98-6
CAS Name: O-3-Amino-3-deoxy-a-D-glucopyranosyl-(1®6)-O-[2,6-diamino-2,3,4,6-tetradeoxy-a-D-erythro-hexopyranosyl-(1®4)]-2-deoxy-D-streptamine
Additional Names: DKB; 3¢,4¢-dideoxykanamycin B; debecacin
Molecular Formula: C18H37N5O8
Molecular Weight: 451.52
Percent Composition: C 47.88%, H 8.26%, N 15.51%, O 28.35%
Literature References: Semisynthetic analog of kanamycin, q.v., effective against kanamycin-resistant bacteria. Prepn: Umezawa et al., J. Antibiot. 24, 485 (1971); eidem, Bull. Chem. Soc. Jpn. 45, 3624 (1972); Umezawa et al., DE 2135191 (1972 to Microbiochem. Res. Found.). Improved synthesis: T. Yoneta et al., Bull. Chem. Soc. Jpn. 52, 1131 (1979). Antibacterial activity: A. G. Paradelis et al., Antimicrob. Agents Chemother. 14, 514 (1978). Metabolic studies: Shimizu, Jpn. J. Antibiot. 26, 522 (1973). Toxicology: Koeda et al., ibid. 221. Pharmacokinetics and acute toxicity: I. Komiya et al., J. Pharmacobio-Dyn. 4, 356 (1981). HPLC determn in serum: H. Kubo et al., Antimicrob. Agents Chemother. 28, 521 (1985). Review: P. Noone, Drugs 27, 548-578 (1984).
Properties: [a]D20 +132° (c = 0.65). LD50 in mice (mg/kg): 61.0-68.0 i.v., 373.0-380.0 i.m. (Komiya).
Optical Rotation: [a]D20 +132° (c = 0.65)
Toxicity data: LD50 in mice (mg/kg): 61.0-68.0 i.v., 373.0-380.0 i.m. (Komiya)
 
Derivative Type: Sulfate
CAS Registry Number: 58580-55-5
Trademarks: Débékacyl (Bellon); Icacine (BMS); Orbicin (Pfizer/Mack, Illert.); Panamicin (Gramon); Panimycin (Meiji); Tokocin (Meiji)
Properties: White or yellowish-white powder. Slightly bitter taste. Sol in water. Practically insol in ethanol, acetone, and other organic solvents.
 
Therap-Cat: Antibacterial.
Keywords: Antibacterial (Antibiotics); Aminoglycosides.

Other Monographs:
Mechlorethamine Oxide HydrochlorideAlazopeptinAcetaldehyde Sodium BisulfitePhalloidin
Sodium β-Naphthoquinone-4-sulfonateArgolCitrus Red 2Picric Acid
EtioporphyrinPododacric AcidNifuroxime2,6-Di-tert-butylpyridine
CefepimeOrexinsPirlimycinNaphthalic Acid
©2006-2023 DrugFuture->Chemical Index Database