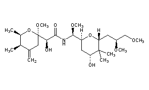
Pederin
Structural Formula Vector Image
Title: Pederin
CAS Registry Number: 27973-72-4
CAS Name: (1S)-2,6-Anhydro-3,5,7-trideoxy-1-C-[[(2S)-hydroxy[(2R,5R,6R)-tetrahydro-2-methoxy-5,6-dimethyl-4-methylene-2H-pyran-2-yl]acetyl]amino]-5,5-dimethyl-1,8,9-tri-O-methyl-D-manno-nonitol
Additional Names: N-[[6-(2,3-dimethoxypropyl)tetrahydro-4-hydroxy-5,5-dimethyl-2H-pyran-2-yl]methoxymethyl]tetrahydro-2-methoxy-5,6-dimethyl-4-methylene-2H-pyran-2-glycolamide; pederine; paederine
Molecular Formula: C25H45NO9
Molecular Weight: 503.63
Percent Composition: C 59.62%, H 9.01%, N 2.78%, O 28.59%
Literature References: The toxic principle isolated from blister beetles, Paederus fuscipes Curt.: Pavan, Bo, Physiol. Comp. Oecol. 3, 307 (1953), C.A. 48, 10217g (1954); GB 932875 (1963 to Farmitalia). Powerful inhibitor of protein biosynthesis and mitosis. Structure: Cardani et al., Gazz. Chim. Ital. 96, 3 (1966). Revised structure: Matsumoto et al., Tetrahedron Lett. 1968, 6297. Biosynthesis: Cardani et al., ibid. 1973, 2815. Total synthesis: F. Matsuda et al., Tetrahedron Lett. 23, 4043 (1982); 24, 1277 (1983).
Properties: Crystals from hexane, benzene + hexane, ether + hexane. mp 112-112.5°. Slightly sol in water, hexane. Sol in methanol, ethanol, carbon disulfide, chloroform, carbon tetrachloride, benzene, and acids. Practically insol in petr ether, NH4OH, NaOH.
Melting point: mp 112-112.5°
 
Derivative Type: Pseudopederin
CAS Registry Number: 10352-73-5
CAS Name: N-[[6-(2,3-Dimethoxypropyl)tetrahydro-4-hydroxy-5,5-dimethyl-2H-pyran-2-yl]methoxymethyl]tetrahydro-a,2-dihydroxy-5,6-dimethyl-4-methylene-2H-pyran-2-acetamide
Additional Names: y-paederine; y-pederine; pseudopaederine
Molecular Formula: C24H43NO9
Molecular Weight: 489.60
Percent Composition: C 58.88%, H 8.85%, N 2.86%, O 29.41%
Literature References: Isoln from blister beetles, Paederus fuscipes: Quilico et al., Chem. Ind. (Milan) 43, 1434 (1961), cf. Cardani et al., Tetrahedron Lett. 1965, 2537; GB 932875 (1963 to Farmitalia).
Properties: Crystals from benzene, mp 133°.
Melting point: mp 133°

Other Monographs:
MOPSFulvoplumierinMethyl IsothiocyanateAluminum Chlorate
Pentaborane(11)3',4',5-TrichlorosalicylanilideTetraethyl PyrophosphateFlunisolide
Ferrous SuccinateD-manno-HeptulosePheniramineBacitracin
MyclobutanilPseudomonic Acidstert-Butyl ChloroacetateAmmonium Platinic Chloride
©2006-2023 DrugFuture->Chemical Index Database