Deslanoside
Structural Formula Vector Image
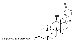
Title: Deslanoside
CAS Registry Number: 17598-65-1
CAS Name: (3b,5b,12b)-3-[(O-b-D-Glucopyranosyl-(1®4)-O-2,6-dideoxy-b-D-ribo-hexopyranosyl-(1®4)-O-2,6-dideoxy-b-D-ribo-hexopyranosyl-(1®4)-2,6-dideoxy-b-D-ribo-hexopyranosyl)oxy]-12,14-dihydroxycard-20(22)-enolide
Additional Names: deacetyllanatoside C; desacetyldigilanide C
Trademarks: Cedilanide (Novartis); Desace (Dexo); Desaci (Simes)
Molecular Formula: C47H74O19
Molecular Weight: 943.08
Percent Composition: C 59.86%, H 7.91%, O 32.23%
Literature References: Cardiac glycoside. Isoln from leaves of Digitalis lanata Ehrh., Scrophulariaceae: Stoll, Kreis, Helv. Chim. Acta 16, 1049, 1390 (1933). Prepn by alkaline degradation of lanatoside C: Kroszczynski et al., Acta Pol. Pharm. 21, 357 (1964), C.A. 62, 10292b (1965). Hemodynamic effects in heart failure: E. Ambrosioni et al., Int. J. Clin. Pharmacol. Biopharm. 17, 416 (1979). Clinical pharmacokinetics: A. Marzo et al., Farmaco Ed. Prat. 37, 28 (1982). Determn in blood and urine by HPLC/MS/MS: F. Guan et al., Anal. Chem. 71, 4034 (1999).
Properties: Crystals from methanol, dec 265-268°. [a]D20 +12° (c = 1.084 in 75% alc). One part dissolves in 5000 parts water, 200 parts methanol and 2500 parts ethanol; very slightly sol in chloroform. Practically insol in ether.
Optical Rotation: [a]D20 +12° (c = 1.084 in 75% alc)
Therap-Cat: Cardiotonic.
Keywords: Cardiotonic.

Other Monographs:
Maleamic AcidEnprostilOleyl AlcoholTibezonium Iodide
Wieland-Gumlich AldehydeLiraglutideIndoxacarbα-Hydroxybenzylphosphinic Acid
LeonurinePhenosulfazoleN,N'-Diphenyl-p-phenylenediamineMiglitol
2-EthoxyethanolUridine Diphosphate GlucoseSolasulfonePranoprofen
©2006-2023 DrugFuture->Chemical Index Database