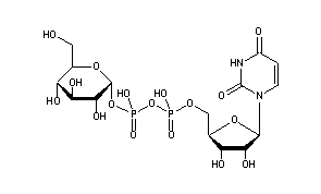
Uridine Diphosphate Glucose
Structural Formula Vector Image
Title: Uridine Diphosphate Glucose
CAS Registry Number: 133-89-1
CAS Name: Uridine 5¢-(trihydrogen diphosphate) P¢-a-D-glucopyranosyl ester
Additional Names: UDPG; UDP-Glucose; uridine 5¢-pyrophosphate glucose ester; uridine-5¢-diphosphoglucose; co-waldenase; co-galactoisomerase
Molecular Formula: C15H24N2O17P2
Molecular Weight: 566.30
Percent Composition: C 31.81%, H 4.27%, N 4.95%, O 48.03%, P 10.94%
Literature References: The coenzyme of the galactowaldenase system which catalyzes the conversion of galactose-1-phosphate into glucose-1-phosphate. Isoln from baker's yeast: Caputto et al., J. Biol. Chem. 184, 333 (1950). Also present in animal tissue. Synthesis: Michelson, Todd, J. Chem. Soc. 1956, 3459; Moffatt, Khorana, J. Am. Chem. Soc. 80, 3756 (1958). Reviews: Leloir, Cardini in The Enzymes vol. 2A, P. D. Boyer et al., Eds. (Academic Press, New York, 2nd ed., 1960) pp 39-61; A. M. Michelson, The Chemistry of Nucleosides and Nucleotides (Academic Press, New York, 1963) pp 153-250; D. W. Hutchison, Nucleotides and Coenzymes (John Wiley, New York, 1964) pp 36-82.
Properties: Isolated as the barium or calcium salt, white powder, sol in water.
 
Derivative Type: Sodium salt dihydrate
Molecular Formula: C15H23N2O17P2Na.2H2O
Molecular Weight: 624.31
Percent Composition: C 28.86%, H 4.36%, N 4.49%, O 48.69%, P 9.92%, Na 3.68%
Properties: White powder. uv max (pH 2.0): 262 nm. Freely sol in water.
Absorption maximum: uv max (pH 2.0): 262 nm

Other Monographs:
ButaverineSophoroseSarsasapogeninTropylium Bromide
MenaquinonesPropylene DichlorideVorozoleBupirimate
Cupric HydroxideDifluoroiodotoluenePaclobutrazolManganese Silicate
FenbenicillinBis(1-methylamyl) Sodium SulfosuccinateDroperidolViquidil
©2006-2023 DrugFuture->Chemical Index Database