Amdinocillin
Structural Formula Vector Image
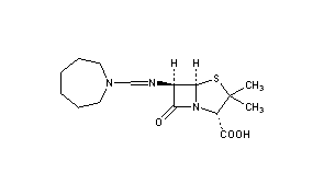
Title: Amdinocillin
CAS Registry Number: 32887-01-7
CAS Name: (2S,5R,6R)-6-[[(Hexahydro-1H-azepin-1-yl)methylene]amino]-3,3-dimethyl-7-oxo-4-thia-1-azabicyclo[3.2.0]heptane-2-carboxylic acid
Additional Names: 6-[(hexahydro-1H-azepin-1-yl)methyleneamino]penicillanic acid; mecillinam
Manufacturers' Codes: FL-1060; Ro-10-9070
Trademarks: Selexid (inj) (Leo Pharm)
Molecular Formula: C15H23N3O3S
Molecular Weight: 325.43
Percent Composition: C 55.36%, H 7.12%, N 12.91%, O 14.75%, S 9.85%
Literature References: Semi-synthetic antibiotic related to penicillin. Prepn: F. J. Lund, DE 2055531; idem, US 3957764 (1971, 1976 both to Lövens Kemiske Fabrik). Synthesis and chemical properties: H. B. König et al., Arzneim.-Forsch. 33, 88 (1983). X-ray structural study: J. W. Krajewski et al., J. Antibiot. 34, 282 (1981). In vitro study: B. Chattopadhyay, I. Hall, J. Antimicrob. Chemother. 5, 549 (1979). Activity against gram-negative bacteria: D. S. Reeves, J. Antimicrob. Chemother. 3, Suppl. B, 5 (1977). Studies on mechanism of action: B. G. Spratt, ibid. 13. Metabolism: A. P. Ball et al., ibid. 4, 241 (1978). Use in urinary tract infections and septicemia: N. Frimodt-Miller, T. J. Ravn, Infection 7, 35 (1979). Determn in plasma and urine by HPLC: T. L. Lee, M. A. Brooks, J. Chromatogr. 227, 137 (1982). Pharmacokinetics in man: B. R. Meyers et al., Antimicrob. Agents Chemother. 23, 827 (1983). Symposium on pharmacology, pharmacokinetics, clinical studies: Am. J. Med. 75, no. 2A, 1-138 (1983). Review of pharmacology and clinical efficacy: H. C. Neu, Pharmacotherapy 5, 1-10 (1985).
Properties: Crystals from methanol-acetone mp 156° (dec). [a]D20 +285° (c = 1 in 0.1N HCl). Sol in water.
Melting point: mp 156° (dec)
Optical Rotation: [a]D20 +285° (c = 1 in 0.1N HCl)
 
Derivative Type: Pivaloyloxymethyl ester see Amdinocillin Pivoxil
 
Therap-Cat: Antibacterial.
Keywords: Antibacterial (Antibiotics); ?Lactams; Penicillins.

Other Monographs:
SalatrimPiperacetazineNitrosylsulfuric Acid7-Aminocephalosporanic Acid
Ethyl AcetoacetateElement 114R-11Peppermint
Thiobenzyl AlcoholChloramphenicolDiacereinBoron Trifluoride
Ethyl PropiolateCeftiofurPhenprocoumon1-Naphthylamine-4,6-disulfonic Acid
©2006-2023 DrugFuture->Chemical Index Database