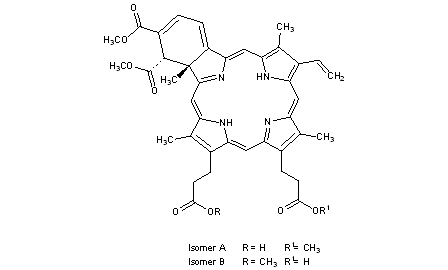
Verteporfin
Structural Formula Vector Image
Title: Verteporfin
CAS Registry Number: 129497-78-5
CAS Name: (4R,4aS)-rel-18-Ethenyl-4,4a-dihydro-3,4-bis(methoxycarbonyl)-4a,8,14,19-tetramethyl-23H,25H-benzo[b]porphine-9,13-dipropanoic acid monomethyl ester
Additional Names: BPD-MA
Manufacturers' Codes: CL-318952
Trademarks: Visudyne (Novartis)
Molecular Formula: C41H42N4O8
Molecular Weight: 718.79
Percent Composition: C 68.51%, H 5.89%, N 7.79%, O 17.81%
Literature References: Benzoporphyrin photosensitizer. Preparative method: A. M. Richter et al., J. Natl. Cancer Inst. 79, 1327 (1987). Photosensitizing efficiency: A. M. Richter et al., Biochem. Pharmacol. 43, 2349 (1992). Spectral characterization: R. Gillies et al., J. Photochem. Photobiol. B 33, 87 (1996). Tissue uptake parameters: R. K. Chowdhary et al., Biopharm. Drug Dispos. 19, 395 (1998). Clinical trial in macular degeneration: TAP Study Group, Arch. Ophthalmol. 117, 1329 (1999). Review of pharmacology and clinical experience: K. J. Mellish, S. B. Brown, Expert Opin. Pharmacother. 2, 351-361 (2001); S. J. Bakri, P. K. Kaiser, ibid. 5, 195-203 (2004).
Properties: Virtually insol in water. Absorption max: ~690 nm.
Absorption maximum: Absorption max: ~690 nm
NOTE: The marketed form is a mixture of the two possible methyl esters.
Therap-Cat: In treatment of age-related macular degeneration.
Keywords: Macular Degeneration Treatment.

Other Monographs:
1-Naphthylamine-4,7-disulfonic AcidTrimethylamineFlosequinanMoxaverine
D-RibuloseMethylnaltrexone BromideFrenolicinVellosimine
tert-Amyl BromidePolifeprosanFollicle-Stimulating Hormone1-Cyanoimidazole
4-tert-Butylphenyl SalicylateAcetobromglucoseMethylthiouracilImperialine
©2006-2023 DrugFuture->Chemical Index Database