Diginin
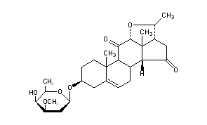
Structural Formula Vector Image
Title: Diginin
CAS Registry Number: 467-53-8
CAS Name: (3b,12a,14b,17a,20S)-3-[(2,6-Dideoxy-3-O-methyl-D-lyxohexopyranosyl)oxy]-12,20-epoxypregn-5-ene-11,15-dione
Additional Names: 3b-(diginosyloxy)-12a,20a-epoxy-14b,17a-pregn-5-ene-11,15-dione
Molecular Formula: C28H40O7
Molecular Weight: 488.61
Percent Composition: C 68.83%, H 8.25%, O 22.92%
Literature References: Isoln from leaves of Digitalis purpurea L., Scrophulariaceae: Karrer in E. Barell Festschrift (1936) p 238; Chem. Zentralbl. 1936, II, 2727. Isoln: Shoppee, Reichstein, Helv. Chim. Acta 23, 975 (1940); Shoppee, ibid. 27, 426 (1944). Structure: Shoppee et al., J. Chem. Soc. 1962, 3610; Tschesche, Brügmann, Tetrahedron 20, 1469 (1964). Mild hydrolysis yields diginigenin and diginose. Attempted partial synthesis of diginigenin: Tschesche, Schwinum, Ber. 100, 464 (1967); Tschesche, Müller-Albrecht, Ber. 103, 350 (1970).
Properties: Stout prisms from dil alc. Indistinct melting range: 155-183°. [a]D14 -223° (c = 2.3 in chloroform). uv max (ethanol): 309 nm (log e 1.94). Freely sol in chloroform; slightly sol in ether, acetone, ethyl acetate, carbon tetrachloride. Practically insol in water. Positive Legal's test. The Keller reaction produces a brilliant yellow band with diginigenin.
Melting point: Indistinct melting range: 155-183°
Optical Rotation: [a]D14 -223° (c = 2.3 in chloroform)
Absorption maximum: uv max (ethanol): 309 nm (log e 1.94)

Other Monographs:
HexaminolevulinateOxamideHygrineStannic Selenite
2-HeptanoneDeoxyepinephrineIpomeaIndole
2,3-Dimercapto-1-propanesulfonic Acidar-TurmeroneBromine PentafluorideSorbitol
Calcium 2-EthylbutanoateMycophenolic AcidFluorine PerchlorateSilver Subfluoride
©2006-2023 DrugFuture->Chemical Index Database