Valspodar
Structural Formula Vector Image
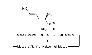
Title: Valspodar
CAS Registry Number: 121584-18-7
CAS Name: 6-[(2S,4R,6E)-4-Methyl-2-(methylamino)-3-oxo-6-octenoic acid]cyclosporin D
Additional Names: [3¢-desoxy-3¢-oxo-MeBmt]1-[Val]2-cyclosporin; [3¢-keto-Bmt1]-[Val2]-cyclosporin
Manufacturers' Codes: PSC-833; SDZ-PSC-833
Trademarks: Amdray (Novartis)
Molecular Formula: C63H111N11O12
Molecular Weight: 1214.62
Percent Composition: C 62.30%, H 9.21%, N 12.68%, O 15.81%
Literature References: Nonimmunosuppressive cyclosporin analog that reverses multidrug resistance (MDR) by inhibiting cellular drug efflux mediated by P-glycoprotein, q.v. Prepn: P. Bollinger et al., EP 296122; eidem, US 5525590 (1988, 1996 both to Sandoz). Pharmacology: D. Boesch et al., Exp. Cell Res. 196, 26 (1991). Clinical pharmacokinetics: R. M. Lush et al., J. Clin. Pharmacol. 37, 123 (1997). HPLC determn in blood: M. G. Scott et al., Clin. Chem. 43, 505 (1997). Clinical evaluation in multiple myeloma: P. Sonneveld et al., Leukemia 10, 1741 (1996); in acute myelogenous leukemia: R. Advani et al., Blood 93, 787 (1999). Review of pharmacology and clinical efficacy: F. Loor, Expert Opin. Invest. Drugs 8, 807-835 (1999).
Properties: Insol in water. Sol in ethanol, DMSO. [a]D20 -255.1° (c = 0.5 in CHCl3).
Optical Rotation: [a]D20 -255.1° (c = 0.5 in CHCl3)
Therap-Cat: Antineoplastic adjunct (chemosensitizer).
Keywords: Antineoplastic Adjunct; Chemosensitizer.

Other Monographs:
Mercuric Dichromate(VI)Ammonium Sodium PhosphateDiclosulamSodium Dicyanoaurate(I)
Lithium OxalateGlyphosineSphingofunginsEptifibatide
Sertralinep-Bromobenzyl ChloroformateL-CystathionineSamarium
Beryllium BorohydridePhenylmethylbarbituric Acido-Cresotic AcidDithizone
©2006-2023 DrugFuture->Chemical Index Database