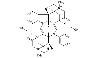
Toxiferine I
Structural Formula Vector Image
Title: Toxiferine I
CAS Registry Number: 6888-23-9
Additional Names: C-Toxiferine I
Molecular Formula: [C40H46N4O2]2+
Literature References: Naturally occurring neuromuscular blocker. From calabash curare: Schmid, Karrer, Helv. Chim. Acta 30, 1162 (1947); from Strychnos toxifera Schomb., Loganiaceae: Wieland et al., Ann. 547, 156 (1941); King, J. Chem. Soc. 1949, 3263. Identity with toxiferine V and toxiferine XI: Battersby et al., ibid. 1960, 1848. Structure: Arnold et al., Helv. Chim. Acta 44, 620 (1961). Synthesis: Berlage et al., ibid. 42, 394 (1959); Grdinic et al., J. Am. Chem. Soc. 86, 3357 (1964). Pharmacokinetics: P. G. Waser, J. Reller, Agents Actions 2, 170 (1972). 13C-NMR study: E. Wenkert et al., J. Org. Chem. 43, 1099 (1978).
 
Derivative Type: Dichloride
Molecular Formula: C40H46Cl2N4O2
Molecular Weight: 685.72
Percent Composition: C 70.06%, H 6.76%, Cl 10.34%, N 8.17%, O 4.67%
Properties: Crystals. [a]D22 -546° (c = 0.30). uv max (ethanol): 292 nm (log e 4.62). Sol in water.
Optical Rotation: [a]D22 -546° (c = 0.30)
Absorption maximum: uv max (ethanol): 292 nm (log e 4.62)
 
Derivative Type: C-Toxiferine II
CAS Registry Number: 7257-29-6
Additional Names: C-Calebassine; C-strychnotoxine
Molecular Formula: [C40H48N4O2]2+
Literature References: From calabash-curare: Karrer, Schmidt, Helv. Chim. Acta 29, 1853 (1946); Zürcher et al., J. Am. Chem. Soc. 80, 1500 (1958). Identity as C-toxiferine II and C-strychnotoxine: Wieland, Merz, Ber. 85, 731 (1952). Structure: Hesse et al., Helv. Chim. Acta 44, 2211 (1961); Fehlmann et al., ibid. 48, 303 (1965).

Other Monographs:
GeranylhydroquinoneTolazamideEthyl SalicylateAgaricic Acid
Manganese Phosphate, DibasicDioscinBenzilonium BromideRed Fluorescent Protein
2,3-Dimercapto-1-propanesulfonic AcidToloxatonePramoxineBudipine
BerylliumIsobutyl Cyanoacrylatep-IodoanilineLead Fluoride
©2006-2023 DrugFuture->Chemical Index Database