Santonic Acid
Structural Formula Vector Image
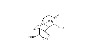
Title: Santonic Acid
CAS Registry Number: 510-35-0
CAS Name: (aS,1R,3aS,4R,5S,7aS)-Octahydro-a,3a,5-trimethyl-6,8-dioxo-1,4-methano-1H-indene-1-acetic acid
Additional Names: hexahydro-a,3a,5-trimethyl-6,8-dioxo-1,4-methanoindan-1-acetic acid
Molecular Formula: C15H20O4
Molecular Weight: 264.32
Percent Composition: C 68.16%, H 7.63%, O 24.21%
Literature References: Prepd from santonin by the action of hot concd aq bases, preferably potassium hydroxide: v. Oettingen, Dissertation, Göttingen, 1913; Woodward et al., J. Am. Chem. Soc. 70, 4216 (1948). Structure: Wedekind, Engel, J. Prakt. Chem. 139, 115 (1934); Woodward et al., loc. cit.; Woodward, Yates, Chem. Ind. (London) 1954, 1391. Chemistry: Hortmann, Daniel, J. Org. Chem. 37, 4446 (1972).
Properties: Crystals from water or alcohol, mp 170-172°; bp15 285°; [a]D20 -74.0° (chloroform). Soluble in 190 parts of water at 17°. Freely sol in alc, chloroform, ether, glacial acetic acid.
Melting point: mp 170-172°
Boiling point: bp15 285°
Optical Rotation: [a]D20 -74.0° (chloroform)

Other Monographs:
MethandrostenoloneTritoqualineAllopregnan-20β-ol-3-oneMercurophen
TafenoquineMethyl Iodide3-NitropentaneRaunescine
Flupyrsulfuron-methylSodium ThiocarbonateAmmonium PerchlorateSulfanilamide
RonnelDopa1α-HydroxycholecalciferolAntimony Thioglycollamide
©2006-2023 DrugFuture->Chemical Index Database