Metocurine Iodide
Structural Formula Vector Image
Title: Metocurine Iodide
CAS Registry Number: 7601-55-0
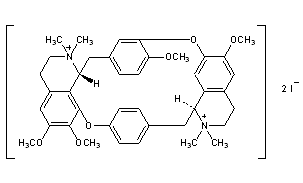
CAS Name: 6,6¢,7¢,12¢-Tetramethoxy-2,2,2¢,2¢-tetramethyltubocuraranium diiodide
Additional Names: (+)-O,O¢-dimethylchondrocurarine diiodide; d-tubocurarine iodide dimethyl ether; dimethyl tubocurarine iodide; tubocurarine dimethyl ether iodide
Trademarks: Metubine Iodide (Lilly)
Molecular Formula: C40H48I2N2O6
Molecular Weight: 906.63
Percent Composition: C 52.99%, H 5.34%, I 27.99%, N 3.09%, O 10.59%
Literature References: Prepd by methylation of d-tubocurarine with methyl iodide.
Properties: Crystals, dec 257-267°. [a]D22 +148 to +158° (c = 0.25). uv max: 280 nm. (E1%1cm 74). Slightly soluble in water (about 300 mg/100 ml), in dil HCl, in dil NaOH. Very slightly sol in alcohol; practically insol in benzene, chloroform, ether.
Optical Rotation: [a]D22 +148 to +158° (c = 0.25)
Absorption maximum: uv max: 280 nm
 
Derivative Type: Trihydrate
Properties: Large prisms from water, appreciably sol in methanol.
 
Therap-Cat: Neuromuscular blocking agent.
Keywords: Neuromuscular Blocking Agent; Nondepolarizing Agents.

Other Monographs:
DibromochloropropaneCerous OxalateHexylene GlycolNifuroxime
Phenylglyceryl EtherEthylene BromohydrinBenzoresorcinolMelezitose
Zinc TannatePotassium Tetraiodoaurate(III)PhenacetinStreptidine
2-Furoic AcidHexamethylolmelamineSpermacetiAcetylene Dibromide
©2006-2023 DrugFuture->Chemical Index Database