Polidexide
Structural Formula Vector Image
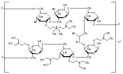
Title: Polidexide
CAS Registry Number: 9064-92-0
CAS Name: Sephadex 2-(diethylamino)ethyl ether
Additional Names: dextran 2-(diethylamino)ethyl 2-[[2-(diethylamino)ethyl]diethylammonio]ethyl ether chloride hydrochloride epichlorohydrin crosslinked; poly[2-(diethylamino)ethyl] polyglycerylene dextran hydrochloride; PDX chloride; Secholex
Trademarks: DEAE-Sephadex (Amersham)
Literature References: Anion exchange resin containing quaternary ammonium groups. Bile acid sequestrant that has been used to reduce serum cholesterol. Prepn: GB 1013585 (1965 to Pharmacia AB). Clinical evaluation in hyperlipidemia: R. J. C. Evans et al., Angiology 24, 22 (1973); S. Ritland et al., Scand. J. Gastroenterol. 10, 791 (1975). Review of use in chromatographic purification of proteins: D. M. Bollag, Methods Mol. Biol. 36, 11-22 (1994).
Properties: Tasteless powder; forms gel in water.
Use: Ion exchange resin.
Therap-Cat: Antilipemic.
Keywords: Antilipemic; Bile Acid Sequesterants; Ion-exchange Resin.

Other Monographs:
Carbitol®MethestrolPlumericinGitalin
Sodium Tellurate(VI)SaxitoxinDiperodon HydrochlorideHydrogen Chloride
Bis(pyridine)iodonium TetrafluoroborateDibenzoylmethaneChimyl AlcoholGlycerol Formal
Incadronic AcidEthyl Diethylmalonatep-Nitrosodiphenylamine5-Bromosalicylic Acid Acetate
©2006-2023 DrugFuture->Chemical Index Database