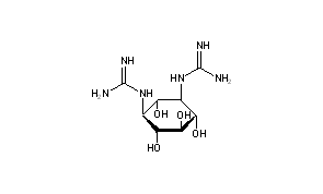
Streptidine
Structural Formula Vector Image
Title: Streptidine
CAS Registry Number: 85-17-6
CAS Name: N,N¢-Bis(aminoiminomethyl)streptamine
Additional Names: N,N¢-diamidinostreptamine; N,N¢¢¢-(2,4,5,6-tetrahydroxy-1,3-cyclohexanediyl)bisguanidine; 1,3-diguanido-2,4,5,6-cyclohexanetetrol
Molecular Formula: C8H18N6O4
Molecular Weight: 262.27
Percent Composition: C 36.64%, H 6.92%, N 32.04%, O 24.40%
Literature References: The aglycone component of the streptomycin molecule joined with streptobiosamine through a glycosidic linkage. Obtained from streptomycin by acid hydrolysis: Peck et al., J. Am. Chem. Soc. 68, 29 (1946); Fried et al., J. Biol. Chem. 162, 391 (1946). Structure: Carter et al., Science 103, 53, 540 (1946). Synthesis: Wolfrom et al., J. Am. Chem. Soc. 72, 1724 (1950). Absolute configuration: Dyer, Todd, ibid. 85, 3896 (1963); Tatsuoka, Horii, J. Antibiot. 17A, 88 (1964). Biosynthesis studies: Bruton et al., J. Biol. Chem. 242, 813 (1967).
Properties: Optically inactive, diacidic base.
 
Derivative Type: Dipicrate dihydrate
Molecular Formula: C20H24N12O18.2H2O
Molecular Weight: 756.50
Percent Composition: C 31.75%, H 3.73%, N 22.22%, O 42.30%
Properties: Yellow needles from water, dec 283-284° (becomes anhydrous in vacuo at 56°, dec 284-285°).
 
Derivative Type: Sulfate
Molecular Formula: C8H18N6O4.H2SO4
Molecular Weight: 360.34
Percent Composition: C 26.67%, H 5.59%, N 23.32%, O 35.52%, S 8.90%
Properties: Crystals from dilute sulfuric acid + acetone, not melted at 300°. Forms solvated crystals from methanol.
 
Derivative Type: Dihydrochloride
Molecular Formula: C8H18N6O4.2HCl
Molecular Weight: 335.19
Percent Composition: C 28.67%, H 6.01%, N 25.07%, O 19.09%, Cl 21.15%
Properties: Hygroscopic, amorphous powder, dec 170-210°. Forms solvated crystals from methanol.

Other Monographs:
DermostatinPramoxineBismuth SubgallateInsulin Glargine
Boron Carbide2-Amino-1,1,3-tricyanopropene2,3-DiaminophenazineCalcium
Calcium N-CarbamoylaspartateHordenineBismuth Sodium IodideAmmonium Ferric Oxalate
Sodium BitartratePolyethylene TerephthalatesHydrazine HydrateButhiazide
©2006-2023 DrugFuture->Chemical Index Database