Plegatil
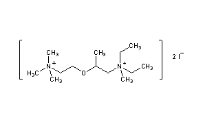
Structural Formula Vector Image
Title: Plegatil
CAS Registry Number: 53597-29-8
CAS Name: N,N-Diethyl-N-methyl-2-[2-(trimethylammonio)ethoxy]-1-propanaminium diiodide
Additional Names: N,N-diethyl-N,N¢,N¢,N¢-tetramethyl-N,N¢-(2-methyl-3-oxapentamethylene)bis[ammonium iodide]; 2-(2-dimethylaminoethoxy)-N,N-diethylpropylamine dimethiodide; b-dimethylaminoethyl -diethylamino--methylethyl ether dimethiodide; 2-dimethylaminoethyl 2¢-diethylaminoisopropyl ether bismethiodide
Manufacturers' Codes: HL-8731
Molecular Formula: C13H32I2N2O
Molecular Weight: 486.21
Percent Composition: C 32.11%, H 6.63%, I 52.20%, N 5.76%, O 3.29%
Literature References: Ganglionic blocking agent. Prepd but not claimed: G. Pakleppa, D. Lenke, DD 11363 (1956), C.A. 53, 2094i (1959). Pharmacology: D. Lenke, Arzneim.-Forsch. 7, 616 (1957); ibid. 11, 571 (1961).
Properties: Crystals, mp 178-180°. LD50 in mice (mg/kg): 39.1 i.v., 1125 orally (Lenke, 1957).
Melting point: mp 178-180°
Toxicity data: LD50 in mice (mg/kg): 39.1 i.v., 1125 orally (Lenke, 1957)
 
 
Status: This monograph has been retired and is no longer subject to revision or update.

Other Monographs:
TetracosamethylhendecasiloxaneChlormerodrin2-Furanacrylic AcidTantalum Pentoxide
Amylocaine Hydrochloride1,3-Butylene Glycol1,3-Dichloro-5,5-dimethylhydantoinFluticasone Propionate
PhenindaminePiperacetazineFenprostalenePromethazine
DiopterinChlorothymolFomecinsPolidocanol
©2006-2023 DrugFuture->Chemical Index Database